Shanghai University
Article Information
- Kong, Y. P., Tian, R. M., Xu, J., Liu, J. X.
- Propagation behavior of SH waves in a piezomagnetic substrate with an orthorhombic piezoelectric layer
- Applied Mathematics and Mechanics (English Edition), 2018, 39(2): 207-218.
- http://dx.doi.org/10.1007/s10483-018-2295-6
Article History
- Received Apr. 1, 2017
- Revised Aug. 4, 2017
2. Department of Civil Engineering, Shijiazhuang Tiedao University Sifang College, Shijiazhuang 051132, China;
3. State Key Laboratory of Structural Analysis for Industrial Equipment, Department of Engineering Mechanics, Dalian 116024, Liaoning Province, China
Piezoelectric (PE)-piezomagnetic (PM) composites are new functional materials. Such composites can convert electrical energy into magnetic energy and vice versa, i.e., they have the magnetoelectric (ME) coupling effect. The ME effect of PE-PM composites can bring about various device applications such as magnetic sensors, resonators, phase shifters, electric-field-tunable filters, and energy harvesters[1-3]. These applications are closely related to the propagation of elastic waves. Therefore, the study on the behavior of elastic waves propagating in PE-PM composites or structures has been an active topic in recent years.
PE-PM composites are also called magneto-electro-elastic (MEE) solids because they also have electromechanical and magneto-mechanical coupling properties except the novel ME effect. Based on the fully coupled constitutive equations, Du et al.[4-5] first derived the dispersion equations of the Love waves in a layered half-space with and without the initial stress, respectively, where two kinds of electro-magnetic boundary conditions were considered on the surface of the layer. As numerical examples, they analyzed the effects of the initial stress, electromagnetic boundary conditions, and PM coefficient on the phase velocity, group velocity, magneto-electromechanical coupling factor, and MEE fields in the CoFe2O4/BaTiO3 layered half-space. For the same layered structure, Zhang et al.[6] analyzed the effect of the inhomogeneous initial stress on the propagation behavior of the Love wave. With the assumption that the boundary of the bonded layer was electrically open and magnetically shorted, Liu et al.[7] studied the Love waves in the PM half-space carrying a PE layer or converse configuration. They focused on the properties of PE and PM materials on the phase velocity. Recently, with the stiffness matrix method, Ezzin et al.[8] investigated the Love waves in a PE layer bonded with a PM half-space. Nie et al.[9] studied the shear horizontal (SH) waves in a PE-PM bilayer structure with an imperfect interface, where the imperfect degree of the interface was characterized by the spring model. They found that the imperfect interface reduced the propagation speed of the SH waves. For a PM layer-PE half-space structure with viscous liquid, Yuan et al.[10] examined the viscos coefficient of the liquid on the phase velocity, and the attenuation properties of the SH surface acoustic wave were obvious. The dispersion behaviors of the SH waves in an MEE layer between two same MEE half-spaces were studied for the perfect interface in Ref. [11] and for the imperfect interface in Ref. [12]. The propagation characteristics of the SH waves in a PE-PM bilayer plate were revealed by Ezzin et al.[13], and the effect of the thickness ratio on the phase velocity, group velocity, and magneto-electromechanical coupling factor were discussed.
In the above works, most of the piezoelectric materials belong to the crystals of class 6 mm[4-13]. Darinskii and Weihnacht[14] discussed the existence of the supersonic Love waves in an mm2 piezoelectric half-space with a different mm2 piezoelectric layer, where both the layer and the half-space did not rotate. In this paper, the properties of the SH waves in the orthotropic piezoelectric/piezomagnectic bi-material structure are studied. The main object is to reveal how the cut orientation, the electromagnetic boundary, and the thickness ratio affect the SH wave propagation characteristics.
2 Description of the basic equationsThe layered structure is illustrated in Fig. 1. The substrate is a transversely isotropic piezomagnectic medium with the thickness hm. The layer is formed by cutting an mm2 piezoelectric layer with the thickness he along two planes parallel to the Zx1-plane. The X-, Y-, and Z-axes coincide with the principle material axes. The x1x2x3-coordinate system is obtained after rotating an angle θ about the Z-axis.
|
| Fig. 1 Geometry of a piezomagnetic substrate covered by an orthotropic piezoelectric layer |
|
|
We analyze the SH waves propagating in the positive x1-axis. For this case, the out-of-plane elastic field in the piezoelectric layer decouples from their in-plane counterpart, while couples with the in-plane electric field. We look for the SH waves described as follows:
|
(1) |
where u3 and φ denote the elastic displacement and the electric potential, respectively.
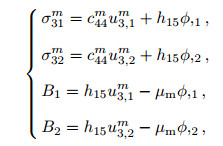
The stresses and electric displacements can be expressed as follows[15]:
|
(2) |
where σ31 and σ32 are the stresses, D1 and D2 are the electric displacements, c44, c45, and c55 are the elastic stiffness constants, e15, e14, and e24 are the piezoelectric constants, and κ11, κ12, and κ22 are the dielectric constants. The crystal coordinate system in the piezoelectric O'X'Y' does not coincide with the actual coordinate system OXY(Ox1x2), and there is an angle θ between them. As shown in Fig. 1, the corresponding material constants under the actual coordinate system can been obtained by
|
(3) |
where
|
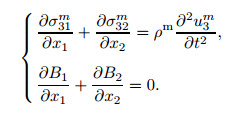
In the usual quasi-static electromagnetic approximation, the equations of motion and electrostatics can be written as follows:
|
(4) |
Substituting Eq. (2) into Eq. (4) yields
|
(5) |
The relevant constitutive relations in the piezomagnetic substrate can be written as follows:
|
(6) |
where u3m and ϕ are the elastic displacement and the magnetic potential, respectively. c44m, h15, and μm are the elastic stiffness, piezomagnetic coefficient, and magnetic permeability, respectively.
For the piemagnetic substrate, the equations of motion and magnetostatics can be written as follows:
|
(7) |
Substituting Eq. (6) into Eq. (7) leads to the uncoupled differential equations as follows:
|
(8) |
where 
At the interface x2=0, the displacements and stress are continuous, while the electric potential and magnetic potential are zero, i.e.,
|
(9) |
The surface of the orthorhombic piezoelectric and piezomagnetic layers is mechanically free, electrically and magnetically closed, or open. Therefore, there are four conditions as follows:
(ⅰ) Mechanically free-electrically short and magnetically open surface (SO)
|
(10) |
(ⅱ) Mechanically free-electrically short and magnetically short surface (SS)
|
(11) |
(ⅲ) Mechanically free-electrically open and magnetically open surface (OO)
|
(12) |
(ⅳ) Mechanically free-electrically open and magnetically short surface (OS)
|
(13) |
For the SH waves along the x1-direction, the solutions of Eq. (5) are assumed as follows:
|
(14) |
where U3(x2) and ψ(x2) are undetermined functions,
k is the wave number, 
Substituting Eq. (14) into Eq. (5) yields
|
(15) |
Solving the above ordinary differential equation system yields
|
(16) |
Substituting Eq. (16) into Eq. (5) yields
|
(17) |
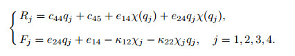
where A and B are the amplitudes of the displacement and electric potential, respectively. The nontrivial solutions for A and B require that the determinant of the coefficient matrix in Eq. (17) must be zero, which leads to
|
(18) |
where
|
For each qj, from Eq. (18), we get
|
(19) |
From Eqs. (14), (16), and (19), the elastic displacement and electric potential can be expressed as follows:
|
(20) |
From Eqs. (14), (16), and (19), the elastic displacement and electric potential can be expressed as follows:
|
(21) |
where
|
(22) |
Suppose that the general solutions of the SH wave in the piezomagnetic structure are
|
(23) |
Substituting Eq. (23) into Eqs. (8), we have
|
(24) |
where 
Since the phase velocity of the SH wave propagating in the bi-material structure is less than the shear wave velocity of the piezomagnetic substrate, the solution satisfying Eq. (24) is
|
(25) |
where 
Substituting Eq. (25) into Eq. (6), we have
|
(26) |
In order to determine Aj and Cj (j=1, 2, 3, 4), the boundary conditions in the previous section must be satisfied. Then, a system of linear homogeneous equations for Aj and Cj (j=1, 2, 3, 4) as follows:
|
(27) |
The appendix gives the specific values of the respective elements of the matrix [S]8×8 and the vector {X}. The necessary and sufficient condition of the equation system (27) having a nonzero solution is that the determinant of its coefficient matrix is zero, i.e.,
|
(28) |
Equation (28) is the transcendental equation concerning the phase velocity and the number k, which is also called the dispersion equation or dispersion relation.
3.1 Numerical examples and discussionIn order to examine the influences of the electromagnetic boundary conditions, the rotation direction of the piezoelectric crystal, and the thickness ratio on the dispersion characteristics, some numerical results are presented based on the derived formulations in the above section. In our calculation, the piezoelectric layer is chosen as PMN-PT, and the PMN-PT single crystal under consideration is poled along the [011]c direction so that the macroscopic symmetry is orthonormal mm2. While the piezomagnetic material is chosen as CoFe2O4. Their properties are lised in Table 1[16-17]. The abscissa from Figs. 2 to 8 is the dimensionless wave number K, and K=khe/(2π). The longitudinal axis is the phase velocity v, and the unit is km/s. The thickness ratio of the piezoelectric layer to the the piezomagnetic layer is f, and f=he/hm. The left subfigures in Figs. 2, 3, and 4 are under the SO (left) and OO (right) boundary conditions.
|
| Fig. 2 Dispersion curves of the first six modes for the PMN-PT/CoFe2O4 coupled structure, where θ = 0°, and f = 0.5 |
|
|
|
| Fig. 3 Dispersion curves of the first six modes for the PMN-PT/CoFe2O4 coupled structure, where θ = 30°, and f=0.5 |
|
|
|
| Fig. 4 Dispersion curves of the first six modes for the PMN-PT/CoFe2O4 coupled structure, where θ = 45°, and f = 0.5 |
|
|
Figure 2 describes the dispersion curve of the first six modes in the bilayer structure under the SO and OO boundary conditions, where the thickness ration f=he/hm is taken as 0.5, and θ=0° is the rotation angle of the piezoelectric layer. Under the SO boundary condition, the phase velocity in the first mode starts with the velocity of the Bleustein-Gulyaev (B-G) waves of the piezomagnetic substrate. The phase velocity gradually tends towards the velocity of the B-G wave velocities corresponding to the respective angles with the increase in K. However, under the OO boundary condition, the phase velocity tends to 2 558 m·s-1, which is the limit velocity of PMN-PT when the rotation angle of piezoelectric layer is 0°. The phase velocity of the higher modes under the two boundary conditions starts with the velocity of the shear bulk wave (vSH) of the piezomagnetic substrate CoFe2O4. When K increases, it tends to the limit velocity of the PMN-PT piezoelectric crystal at the 0° cutting direction. Moreover, one can also observe that the initial phase velocities of the first mode are less than the bulk shear wave velocity of CoFe2O4 because of the thickness ratio.
Figures 3 and 4 show the dispersion curves of the first 6 modes under the two boundary conditions and when the cutting angle of the piezoelectric crystal is 30° and 45°. We can find the variation is similar to Fig. 2. With the increase in K, the phase velocity of the first modal in the PMN-PT/CoFe2O4 bilayer structure under the SO boundary condition tends to the velocity of the B-G wave at the corresponding cutting angle, and the phase velocity of the first modal under the OO boundary condition tends to the limit velocity at the corresponding cutting angle, which coincides with the results in Table 2.
Figures 5 and 6 show the effects of the cut orientation on the dispersion behaviors for the SO case, where the thickness ration is 0.5. It should be noted that, here in this example, the range of the cutting angle of the PMN-PT piezoelectric crystal is 0° to 45°, and with the increase in the cutting angle, the speed of the B-G wave, the limit wave, and the shear wave in the PMN-PT single crystal is gradually increasing. When the SH wave is propagating in the PMN-PT/CoFe2O4 composite structure, the phase velocity is required to be less than the velocity of the shear wave of the piezomagnetic substrate. When it is electrically open, the phase velocity of the first mode is greater than the B-G wave velocity of the PMN-PT crystal, and the phase velocities of the higher modes are greater than the limit velocity of the PMN-PT crystal. When the cutting angle is larger than 45°, the limit velocity of the PMN-PT layer is greater than the velocity of the shear wave of the CoFe2O4 substrate, i.e., the SH waves cannot propagate in this bi-material structure. As can be seen from Fig. 5, when the wave number K is small, the cutting angle of the piezoelectric crystal has little effect on the phase velocity. With the increase in K, the phase velocity of the propagation in the structure is closely related to the cutting angle of the PMN-PT crystal. When K is large enough, the phase velocity of the first mode tends to the velocity of the B-G wave when the PMN-PT crystal is at the corresponding cutting angle, and the phase velocity of the second mode tends to the limit velocity when the PMN-PT crystal is at the corresponding cutting angle.
|
| Fig. 5 Dispersion curves of the first mode for the PMN-PT/CoFe2O4 coupled structure for different θ under the SO boundary, where f = 0.5 |
|
|
|
| Fig. 6 Dispersion curves of the second mode for the PMN-PT/CoFe2O4 coupled structure for different θ under the SO boundary, where f = 0.5 |
|
|
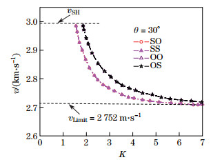
Figure 7 shows the propagation behaviors of the SH waves in the PMN-PT/CoFe2O4 bilayer structure under four different electromagnetic boundary conditions. The thickness ration f is taken as 0.5, and the cutting angle θ is taken as 30°. From Fig. 7, it can be observed that the electrical boundary condition of the piezoelectric layer has a great effect on the dispersion curve of the first mode. The phase velocities of the first mode for the SO and SS cases approach the velocity of the B-G surface wave of the PMN-PT single crystal at θ=30° with the increase in the wave number. However, for the OO and OS cases, the speeds of the first mode tend to the limit wave velocity of the PMN-PT single crystal at θ=30°. For the second mode, the speeds tend to the limit wave velocity of the PMN-PT single crystal, but the velocities for the electrically shorted case are less than that for the electrically open case. From Fig. 7, it can be observed that the magnetic boundary condition in the double-layer structure has no impact on the dispersion curve.
|
| Fig. 7 Dispersion curves of the second mode for the PMN-PT/CoFe2O4 coupled structure under different boundary conditions, where θ = 30°, and f = 0.5 |
|
|
In order to examine the influence of the thickness ratio on the propagation behaviors, the dispersion curves of the first mode for the PMN-PT/CoFe2O4 bi-material structure for different values of the thickness ratio are presented in Fig. 8, where f=0.5, 0.2, 0.1, and 0.05, respectively. In Fig. 8, we have only considered the electrically shorted and magnetically open boundary condition when θ=30°. It can be seen that the phase velocity increases with the increase in the thickness ratio when the wave number is small, and the effect of the thickness ratio on the phase velocity gradually disappears with the increase in K. Meanwhile, one can find that the smaller the thickness ratio is, the larger the starting speed is. When the wave number is zero, and the starting speed is equal to the bulk shear wave velocity of CoFe2O4 when f=0.05.
|
| Fig. 8 Dispersion curves of the first mode for the PMN-PT/CoFe2O4 coupled structure for different f under the SO boundary, where θ = 30° |
|
|
The SH waves in a piezoelectric/piezomagnectic bi-material structure are studied theoretically. The numerical calculations have been conducted to show the propagation characteristics of the SH waves for the PMN-PT single crystal layer and the CoFe2O4 substrate structure. From the obtained numerical results, the following conclusions can be drawn.
(ⅰ) The velocities of the bilayer structure are related to the cut angle of the PMN-PT single crystal. This feature is different from the reported investigations when the piezoelectric layers possess 6 mm symmetry.
(ⅱ) The effect of the thickness ratio on the phase velocity is very obvious in a smaller nondimensional wave number, and it gradually disappears with the increase in K.
(ⅲ) The propagation characteristics of the SH waves are controlled by the electrical boundary conditions at the surfaces. The influence of the magnetical boundary conditions can be neglected. These conclusions have a great significance and reference value for the piezoelectric/piezomagnetic bi-material structure on the research and development of resonators, wave filters, and other surface acoustic wave devices.
Appendix AThe elements S(i, j) of the matrix [S] under the SO magnetic boundary condition are as follows:
|
|
where
|
The solution method under other boundary conditions is similar to the above one.
| [1] | Fiebig, M. Revival of the magnetoelectric effect. Cheminform, 36, 123-152 (2005) |
| [2] | Nan, C. W., Bichurin, M. I., Dong, S., Viehland, D., and Srinivasan, G. Multiferroic magnetoelectric composites: historical perspective, status, and future directions. Journal of Applied Physics, 103, 031101 (2008) doi:10.1063/1.2836410 |
| [3] | Palneedi, H., Annapureddy, V., Priya, S., and Ryu, J. Status and perspectives of multiferroic magnetoelectric composite materials and applications. Actuators, 5, 9 (2016) doi:10.3390/act5010009 |
| [4] | Du, J. K., Jin., X. Y., and Wang, J. Love wave propagation in layered magneto-electro-elastic structures with initial stress. Acta Mechanica, 192, 169-189 (2007) doi:10.1007/s00707-006-0435-3 |
| [5] | Du, J. K., Jin, X. Y., and Wang, J. Love wave propagation in layered magneto-electro-elastic structures. Science in China Series G:Physics, Mechanics & Astronomy, 51, 617-631 (2008) |
| [6] | Zhang, J., Shen, Y. P., and Du, J. K. The effect of inhomogeneous initial stress on Love wave propagation in layered magneto-electro-elastic structures. Smart Materials and Structures, 17, 025026 (2008) doi:10.1088/0964-1726/17/2/025026 |
| [7] | Liu, J. X., Fang, D. N., Wei, W. Y., and Zhao, X. F. Love waves in piezoelectric/piezomagnetic structures. Journal of Sound and Vibration, 315, 146-156 (2008) doi:10.1016/j.jsv.2008.01.055 |
| [8] | Ezzin, H., Ben, A. M., and Ben Ghozlen, M. H. Love waves propagation in a transversely isotropic piezoelectric layer on a piezomagnetic half-space. Ultrasonics, 69, 83-89 (2016) doi:10.1016/j.ultras.2016.03.006 |
| [9] | Nie, G. Q., Liu, J. X., Fang, X. Q., and An, Z. J. Shear horizontal (SH) waves propagating in piezoelectric-piezomagnetic bilayer system with an imperfect interface. Acta Mechanica, 223, 1999-2009 (2012) doi:10.1007/s00707-012-0680-6 |
| [10] | Yuan, L. L., Du, J. K., Ma, T. F., and Wang, J. Effects of viscous liquid on SH-SAW in layered magnetoelectric structures. Ultrasonics, 53, 808-814 (2013) doi:10.1016/j.ultras.2012.11.012 |
| [11] | Calas, H., Otero, J. A., Rodríguez-Ramos, R., Monsivais, G., and Stern, C. Dispersion relations for SH wave in magneto-electro-elastic heterostructures. International Journal of Solids and Structures, 45, 5356-5367 (2008) doi:10.1016/j.ijsolstr.2008.05.017 |
| [12] | Otero, J. A., Calas, H., and Rodríguez-Ramos, R. Dispersion relations for SH waves on a magnetoelectroelastic heterostructure with imperfect interfaces. Journal of Mechanics of Materials and Structures, 6, 969-993 (2011) doi:10.2140/jomms |
| [13] | Ezzin, H., Amor, M. B., and Ghozlen, M. H. B. Propagation behavior of SH waves in layered piezoelectric/piezomagnetic plates. Acta Mechanica, 228, 1071-1081 (2017) doi:10.1007/s00707-016-1744-9 |
| [14] | Darinskii, A. N. and Weihnacht, M. Supersonic Love waves in strong piezoelectrics of symmetry mm2. Journal of Applied Physics, 90, 383-388 (2001) doi:10.1063/1.1376405 |
| [15] | Collet, B. and Destrade, M. Piezoelectric Love waves on rotated Y-cut mm2 substrates. IEEE Transactions on Ultrasonics Ferroelectrics and Frequency Control, 53, 2132-2139 (2006) doi:10.1109/TUFFC.2006.153 |
| [16] | Chen, C. W., Zhang, R., and Cao, W. W. Theoretical study on guided wave propagation in (1-x)Pb(Mg1/3Nb2/3)O3-xPbTiO(3) (x=0.29 and 0.33) single crystal plates. Journal of Physics D: Applied Physics, 42, 095411 (2009) doi:10.1088/0022-3727/42/9/095411 |
| [17] | Srinivas, S., Li, J. Y., Zhou, Y. C., and Soh, A. K. The effective magnetoelectroelastic moduli of matrix-based multiferroic composites. Journal of Applied Physics, 99, 043905 (2006) doi:10.1063/1.2173035 |
2018, Vol. 39


