Article Information
- S. AGARWAL, P. RANA. 2016.
- Analysis of periodic and aperiodic convective stability of double diffusive nanofluid convection in rotating porous layer
- Appl. Math. Mech. -Engl. Ed., 37(2): 215-226
- http://dx.doi.org/10.1007/s10483-016-2026-8
Article History
- Received Apr. 1, 2015;
- in final form Jul. 2, 2015
2. Department of Mathematics, Jaypee Institute of Information Technology, Noida 201301, Uttar Pradesh, India
| C,solute concentration; | p,pressure; |
| Rm,basic density Rayleigh number; | g,acceleration due to gravity; |
| K,permeability of medium; | Le,thermo-solutal Lewis number; |
| d,depth of fluid layer; | Ln,thermo-nanofluid Lewis number; |
| kT,porous medium’s effective thermal conductivity; | NA,modified diffusivity ratio; |
| km,porous medium’s thermal diffusivity; | NB,modified nanoparticle-density increment; |
| Ra,thermal Rayleigh-Darcy number; | NCT,Soret parameter; |
| Rn,nanoparticle concentration Rayleigh number; | NTC,Dufour parameter; |
| Rs,solute concentration Rayleigh number; | T,temperature of the nanofluid; |
| Ta,Taylor’s number; | Tc,upper wall’s temperature; |
| DT,thermophoretic diffusion coefficient; | Th,lower wall’s temperature; |
| DB,Brownian diffusion coefficient; | t,time; |
| v,velocity of the nanofluid. |
| μ,fluid viscosity; | βT,thermal volumetric coefficient; |
| ρf ,fluid density; | βC,solutal volumetric coefficient; |
| ρp,nanoparticle mass density; | ε,porosity of the medium; |
| γ,thermal capacity ratio; | ψ,stream function; |
| Φ,volume fraction of the nanoparticle; | α,wave number; |
| ω,frequency of oscillations. |
| f,fluid; | p,particle. |
| b,quiescent solution; |
| ′,perturbed variable; | ∗,dimensional variable. |
![]() | ![]() |
The current persisting scenarios of the industries,including the transportation,heating,ventilating, and air conditioning,paper and textiles,geothermal energy extraction,have started using nanofluids as coolants extensively owing to their property of high thermal capacity,as compared to the classical heat transfer fluids. The potential benefits of using nanofluids over normal coolants include increased surface area of nanoparticles for heat exchange,reduction in pumping power due to the increased heat transfer,minimization in clogging,development of miniaturized systems resulting in savings in energy and capital.
The term “nanofluid” was christened by Choi and Eastman[1]. The reason for the thermal con- ductivity and high heat transfer for these special fluid was studied by Buongiorno[2] ,who proposed a comparatively satisfactory slip mechanism based on the model including the effects of Brownian motion and Thermophoresis of the nanoparticles suspended. His suggested mathematical model was later uti- lized and modified by Nield and Kuznetsov[3, 4],Kuznetsov and Nield[5, 6],Bhadauria et al.[7] ,Agarwal and Bhadauria[8] with the assumption that the value of the nanoparticle fraction at the boundary can be controlled as the temperature thereat. Since the porous medium is one of the key participants in many heat transfer situations,based on the same assumptions,studies were carried out by Bhadauria and Agarwal[9, 10] and Agarwal and Bhadauria[11] pertaining to rotating porous media saturated by a nanofluid. The problem of double diffusive convective transport where the base fluid is itself a solution, like salt solution,was examined by Kim et al.[12] ,Kuznetsov and Nield[13],Agarwal et al.[14] ,and Yadav et al.[15] . Binary nanofluids have wide applications as follows: (i) working fluids in absorption refrig- eration,i.e.,in absorption systems using water based Lithium Bromide and Ammonia solution with both magnetic and non-magnetic metal nanoparticles sufficiently enhance the heat transfer and also help in improving the mass transfer due to high rate of mixing; (ii) a medium for electro or electroless plating; (iii) transfer medium in medical treatments; (iv) geological processes such as crustal heat and solute transport,metamorphism,the diagenetic evolution of sedimentary basins and ore genesis; (v) geotechnical applications like underground disposal of nuclear wastes,liquid re-injection,contaminant transport in saturated soil,movement of moisture in fibrous insulation,and electro-chemical and drying processes.
These fields have initiated the utilization of nanofluids,which turn out to be binary nanofluids in the presence of other salts. Also these involve rotating porous media in the form of the Earth crust.
The above studies assumed that the nanoparticle concentration can be controlled manually at the boundaries which is a physical situation quite hard to achieve,resulting in the need to modify the boundary conditions assumed. In their very recent work,Nield and Kuznetsov[3] considered a new set of boundary conditions where the nanoparticle volume fraction value adjusts automatically under the assumption of no nanoparticle flux at the surface. With such an assumption,the presence of oscillatory convection turns oblivious due to the absence of the two opposing agencies affecting instability. The study was further promoted by Agarwal[16] and Agarwal et al.[17] . In spite of this,we encounter the oscillatory convection in the present case due to the presence of solute particles under rotational effects.
In the present article,we study the Horton-Rogers-Lapwood problem for double diffusive convection in a rotating porous medium with revised boundary conditions,obeying Darcy’s Model.
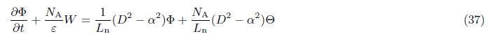
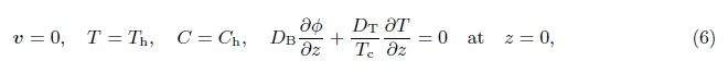
2 Mathematical formulationAssume an infinite stretch of binary nanofluid layer sandwiched in a rotating porous medium,with edges at z = 0 and z = d,heated from below and cooled from above. The edges permit free movement of heat and nanoparticle concentration. The nanofluid layer extends infinitely in x- and y-directions, with the z-direction extending vertically upward originating from the lower boundary. The porous layer rotates uniformly about the z-direction with the uniform angular velocity . The centrifugal force term is considered to be absorbed into the pressure term,while the momentum equation contains the Coriolis force term. Th and Tc are the temperatures at the lower and upper walls,respectively, such that Th > Tc. The resulting equations describing the flow problem are[2, 3]
The quantities at the quiescent state vary only in the z-direction and will be given by
For small disturbances onto the quiescent state,i.e.,
The parameter Rm is not carried over in the subsequent equations since it is part of the hydrostatic equilibrium. Operate the curl on Eq. (24) for its vertical component as
In the case of neutral stability,we take ζ1 = 0 in our analysis. For the aperiodic convection ζ2 = 0, we take N = 1 and get the value of Rast as
For the oscillatory onset ℵ2 = 0 (ζ2 ≠ 0) in Eq. (33),we can obtain
For the periodic convection to be achievable,ζ2 needs to be positive and real,thus,c22 − 4c1c3 > 0 while for ζ2 < 0,though real valued,no periodic instability is possible.
6 Results and discussionThe thermal convection in a binary nanofluid saturated rotating porous layer in the linear case has been analyzed. The zero nanoparticle flux including thermophoretic effects is considered at the edges. Though with the current choice of boundary conditions the possibility of existence of overstability is negated under normal situations,it exists in the present case due to the presence of solute particles along with the nanoparticles. The analytic expressions for periodic and aperiodic modes of convection have been obtained as Eqs. (41) and (42),respectively. We shall discuss various limiting cases for this. When it is a non-rotating system,Ta = 0,which results in
In the case of ordinary fluid,Ln = 0 =
Now for a single component phase,we shall obtain from the above system as follows:
We can rearrange the above result as
The nanoparticle flux does not contribute to the thermal energy conservation evident from the disappearance of the parameter NB from the subsequent equations due to the orthogonality of the first-order trial functions and their first derivatives in the approximation theory employed.
Figure 1 deals with the comparative study of onset of convection between a binary nanofluid and a simple nanofluid,i.e,between two-phase state and a three-phase state. It is to be noticed that convection sets in earlier in the two-phase state than that in the triple-phase. This may be attributed to the presence of ordinary sized particles in the base fluid of a binary nanofluid along with the nano sized particles,which have a thermal conductivity lower than the nano particles. Because this convection gets delayed. According to Chandrashekhar[19] and Drazin and Reid[20],for the “Exchange of Stabilities” to hold good,oscillatory should be the mode of onset of convection which should transmit to the case of damped oscillations for a classical Rayleigh-B´enard problem. The current problem follows the latter concept documented by Fig. 2,where convection sets in with oscillatory mode and finally grows aperiodically as damped oscillations.
|
| Fig. 1 Linear stability curve depicting com- parative onset of convection in binary nanofluid and simple nanofluid |
|
| Fig. 2 Linear stability curve depicting onset of convection in aperiodic and peri- odic modes of convection |
In Figs. 3-11,we draw the neutral stability curves depicting the variation of thermal Rayleigh number Ra with the wave number α. The results shown in Figs. 3-5 and Fig. 11 indicate that the concentration Rayleigh number Rn,thermo-nanofluid Lewis number Ln,modified diffusivity ratio NA and porosity of the medium ε have destabilizing effects on the system. An increase in the value of any of these parameters leads to the decrease in the value of critical thermal Rayleigh number Racr, indicating an advancement in the onset of convection. The effect of these graphically supports what can be concluded by looking at the expression of the thermal Rayleigh number in Eq. (41). The proceeding figures,Figure 6-Figure 10 depict a stabilizing effect on the conformity of the remaining parameters,Taylor’s number Ta,solutal-Rayleigh number Rs,thermo-solutal Lewis number Le,Soret parameter NCT and Dufour parameter NTC. An increase in their values delays the onset of convection just as expected.
|
| Fig. 3 Neutral stability curves for different values of concentration Rayleigh number Rn |
|
| Fig. 4 Neutral stability curves for different values of thermo-nanofluid Lewis number Ln |
|
| Fig. 5 Neutral stability curves for different values of modified diffusivity ration NA |
|
| Fig. 6 Neutral stability curves for different values of Taylor’s number Ta |
|
| Fig. 7 Neutral stability curves for different values of solutal Rayleigh number Rs |
|
| Fig. 8 Neutral stability curves for different values of thermo-solutal Lewis number Le |
|
| Fig. 9 Neutral stability curves for different values of Soret parameter NCT |
|
| Fig. 10 Neutral stability curves for different values of Dufour parameter NTC |
|
| Fig. 11 Neutral stability curves for different values of porosity ε |
The problem of thermal instability in a binary nanofluid saturated a rotating porous medium has been studied analytically for the linear case. The porous layer is heated from below and cooled from above. The considered Darcy model includes the Brownian diffusion and thermophoresis effects. The expressions for the aperiodic and periodic convection are obtained analytically. Various limiting cases have been validated. The following conclusions are drawn graphically:
(i) The convection is delayed in binary nanofluids than ordinary nanofluids.
(ii) Oscillation is the preferred mode for onset of convection which transforms to the stationary mode at a later stage.
(iii) The parameters Rn,Ln,NA,ε have a diminishing effect on the system,since they enhance the onset of convection. (iv) The parameters Ta,Rs,Le,NCT,NTC stabilize the system by leading to a delay in the onset of convection.
| [1] | Choi, S. U. S. and Eastman, J. A. Enhancing thermal conductivity of fluids with nanoparticles. Development and Applications of Non-Newtonian Flows, 231, 99-105(1995) |
| [2] | Buongiorno, J. Convective transport in nanofluids. ASME Journal of Heat Transfer, 128, 240-250(2006) |
| [3] | Nield, D. A. and Kuznetsov, A. V. Thermal instability in a porous medium layer saturated by a nanofluid: a revised model. International Journal of Heat and Mass Transfer, 68, 211-214(2014) |
| [4] | Nield, D. A. and Kuznetsov, A. V. The effect of vertical throughflow on thermal instability in a porous medium layer saturated by a nanofluid. Transport in Porous Media, 87, 765-775(2011) |
| [5] | Kuznetsov, A. V. and Nield, D. A. Thermal instability in a porous medium layer saturated by a nanofluid: Brinkman model. Transport in Porous Media, 81, 409-422(2010) |
| [6] | Kuanetsov, A. V. and Nield, D. A. Effect of local thermal non-equilibrium on the onset of convec-tion in a porous medium layer saturated by a nanofluid. Transport in Porous Media, 83, 425-436(2010) |
| [7] | Bhadauria, B. S., Agarwal, S., and Kumar, A. Non-linear two-dimensional convection in a nanofluid saturated porous medium. Transport in Porous Media, 90(2), 605-625(2011) |
| [8] | Agarwal, S. and Bhadauria, B. S. Unsteady heat and mass transfer in a rotating nanofluid layer. Continuum Mechanics and Thermodynamics, 26, 437-445(2014) |
| [9] | Bhadauria, B. S. and Agarwal, S. Natural convection in a nanofluid saturated rotating porous layer: a nonlinear study. Transport in Porous Media, 87(2), 585-602(2011) |
| [10] | Bhadauria, B. S. and Agarwal, S. Convective transport in a nanofluid saturated porous layer with thermal non-equilibrium model. Transport in Porous Media, 88(1), 107-131(2011) |
| [11] | Agarwal, S. and Bhadauria, B. S. Natural convection in a nanofluid saturated rotating porous layer with thermal non-equilibrium model. Transport in Porous Media, 90, 627-654(2011) |
| [12] | Kim, J., Choi, C. K., Kang, Y. T., and Kim, M. G. Effects of thermodiffusion and nanoparticles on convective instabilities in binary nanofluids. Microscale Thermophysical Engineering, 10, 29-39(2006) |
| [13] | Kuznetsov, A. V. and Nield, D. A. The onset of double diffusive nanofluid convection in a layer of a saturated porous medium. Transport in Porous Media, 85(3), 941-951(2010) |
| [14] | Agarwal, S., Sacheti, N. C., Chandran, P., Bhadauria, B. S., and Singh, A. K. Non-linear convective transport in a binary nanofluid saturated porous layer. Transport in Porous Media, 93(1), 29-49(2012) |
| [15] | Yadav, D., Agarwal, G. S., and Bharagava, R. The onset of convection in a binary nanofluid saturated porous layer. International Journal of Theoretical and Applied Multiscale Mechanics, 2(3), 198-224(2012) |
| [16] | Agarwal, S. Natural convection in a nanofluid saturated rotating porous layer: a more realistic approach. Transport in Porous Media, 104(3), 581-592(2014) |
| [17] | Agarwal, S., Rana, P., and Bhadauria, B. S. Rayleigh-Bénard convection in a nanofluid layer using a thermal non-equilibrium model. ASME Journal of Heat Transfer, 136(12), 122501(2014) |
| [18] | Nield, D. A. and Bejan, A. Convection in Porous Media, 3rd ed., Springer-Verlag, New York (2006) |
| [19] | Chandrashekhar, S. Hydrodynamic and Hydromagnetic Stability, Oxford University Press, Oxford (1961) |
| [20] | Drazin, P. G. and Reid, W. H. Hydrodynamic Stability, Cambridge University Press, Cambridge (1981) |
2016, Vol. 37



