Applied Mathematics and Mechanics (English Edition) ›› 2026, Vol. 47 ›› Issue (3): 555-572.doi: https://doi.org/10.1007/s10483-026-3358-8

• • 上一篇    下一篇

  

  • 收稿日期:2025-10-02 修回日期:2025-12-25 发布日期:2026-03-02

Generalized semi-analytical modeling of three-dimensional contact responses in piezoelectric semiconductors with conductive indenters

Ling WANG1, Huoming SHEN2,3, Yuxing WANG2,4,()   

  1. 1.School of Architecture and Civil Engineering, Xihua University, Chengdu 610039, China
    2.School of Mechanics and Aerospace Engineering, Southwest Jiaotong University, Chengdu 611756, China
    3.School of Automation, Chengdu University of Information Technology, Chengdu 610225, China
    4.School of Mechanical Engineering, Southwest Jiaotong University, Chengdu 611756, China
  • Received:2025-10-02 Revised:2025-12-25 Published:2026-03-02
  • Contact: Yuxing WANG E-mail:wangyuxing1991@163.com
  • Supported by:
    Project supported by the National Natural Science Foundation of China (No. 12402113) and the Sichuan Science and Technology Program (No. 2024NSFSC0037)

Abstract:

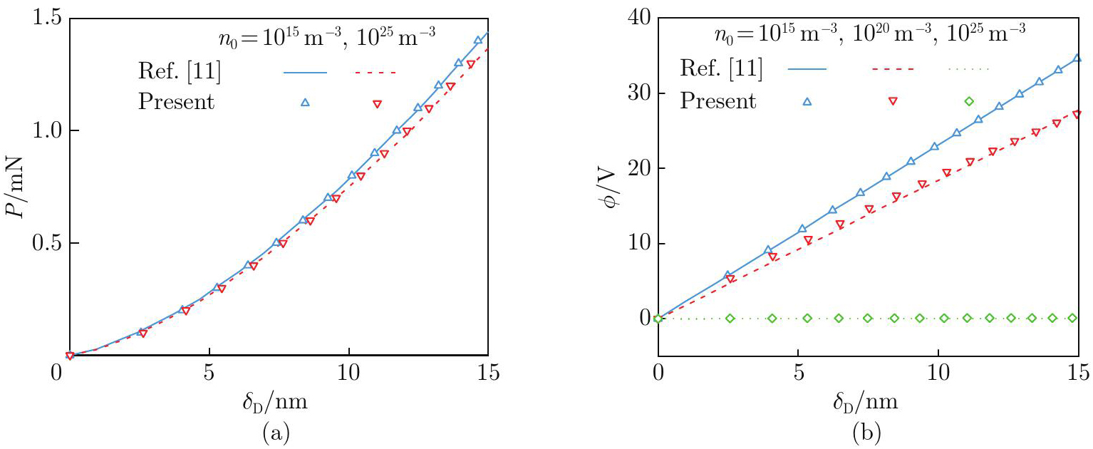
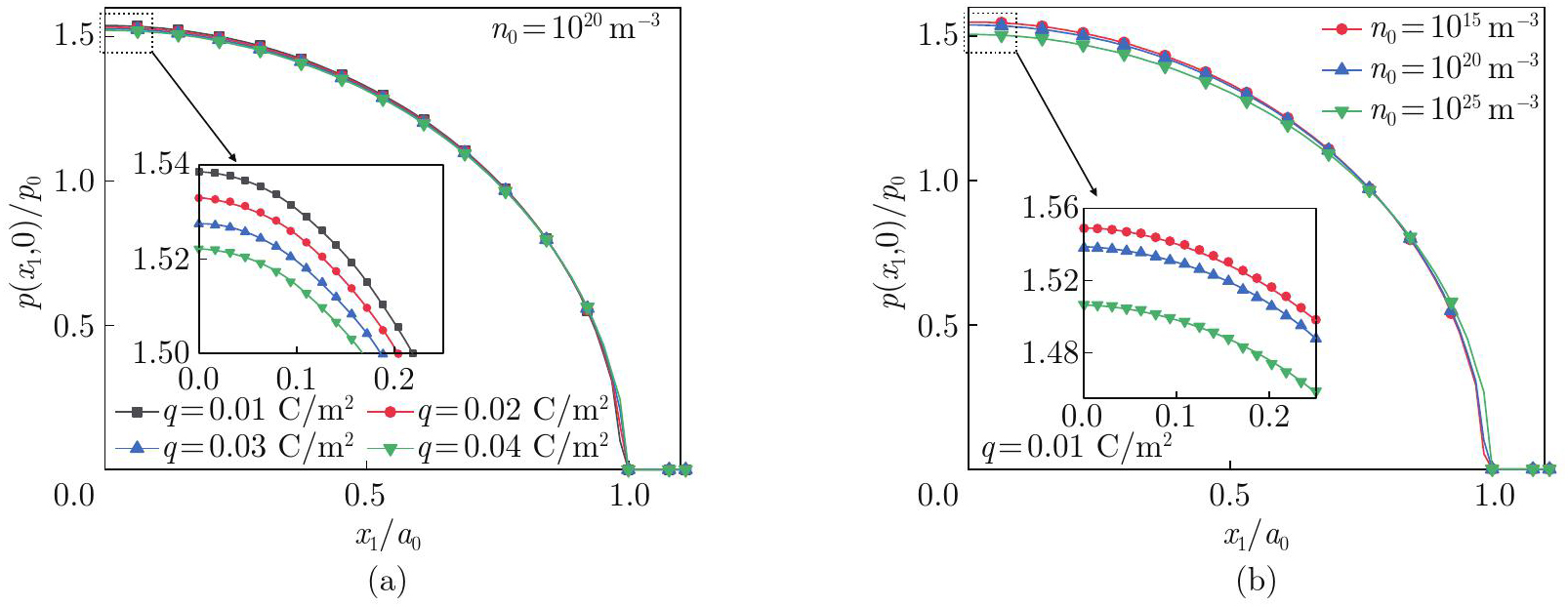
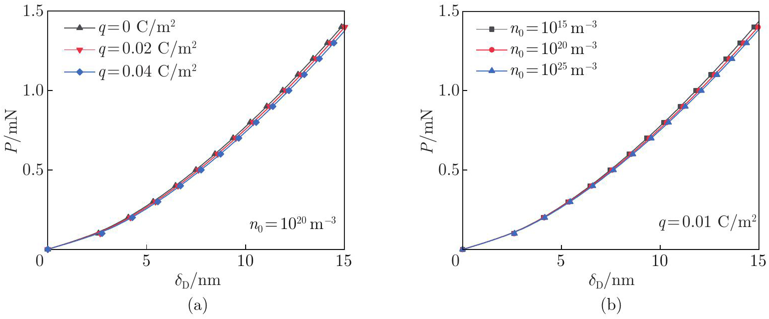
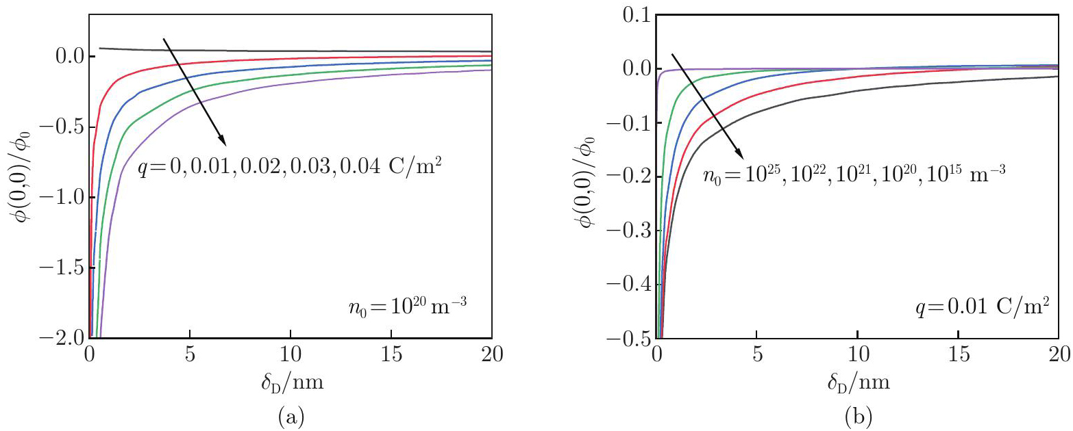
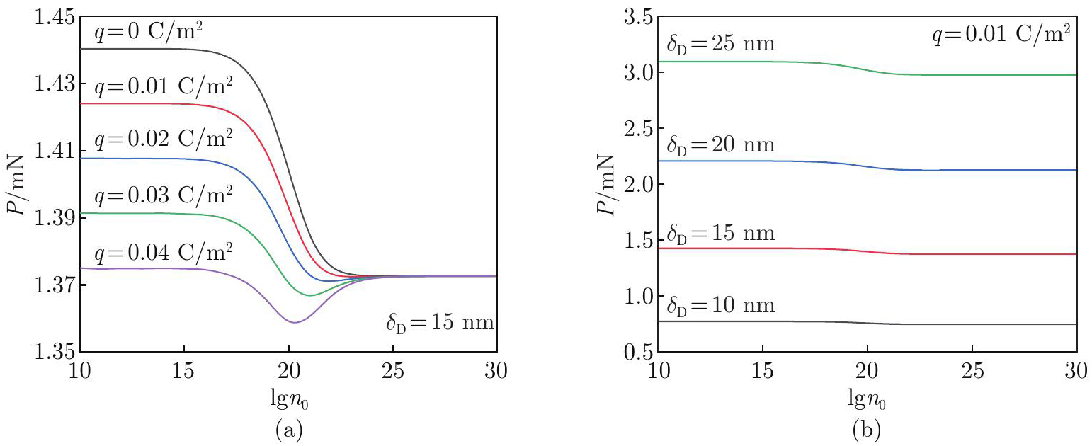
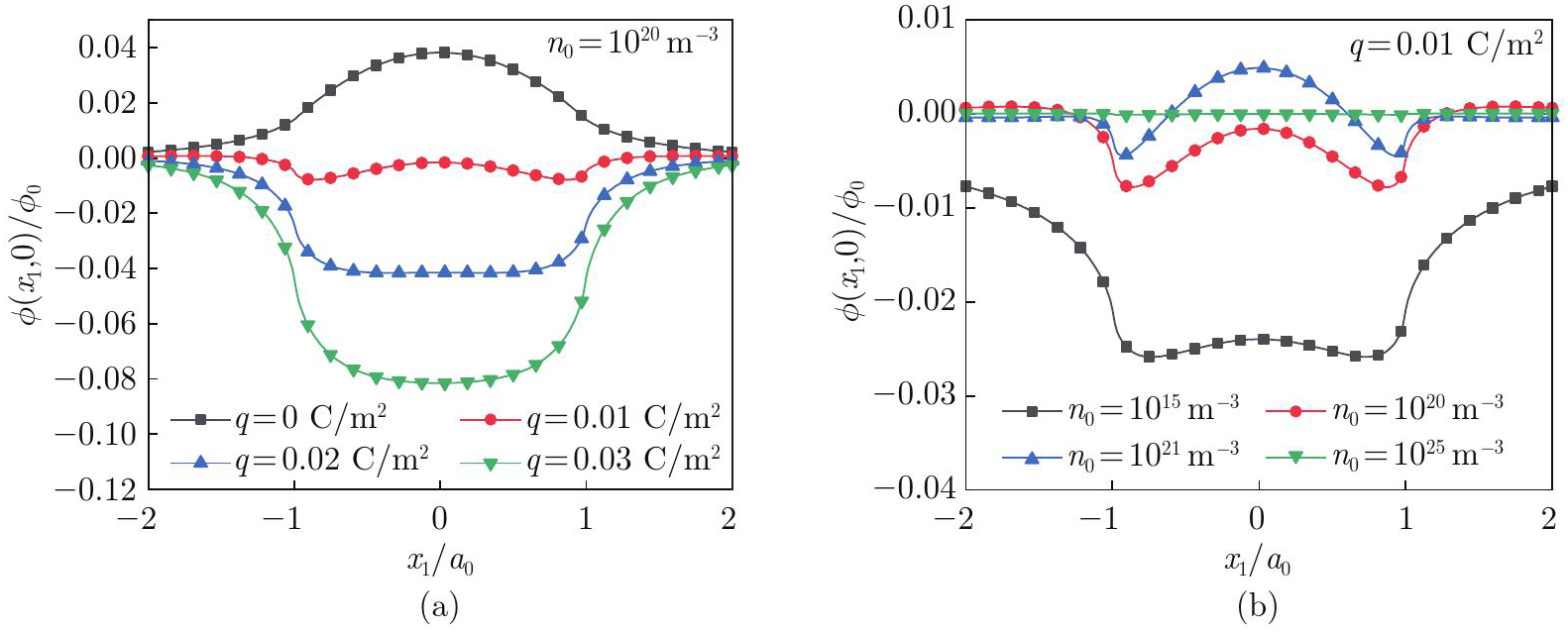
Piezoelectric semiconductor (PSC) materials exhibit strong electromechanical coupling affected by free carriers, which makes their contact behavior essential for sensors, actuators, and electronic devices. Analytical models for three-dimensional (3D) PSC contact problems are still scarce, especially for conductive indenters. This work develops a semi-analytical framework to study the 3D frictionless contact between a conductive indenter and a PSC half-space. Fundamental solutions under a unit force and a unit electric charge are derived, and the corresponding frequency response functions are combined with a discrete convolution-fast Fourier transform (DC-FFT) algorithm to achieve an efficient semi-analytical contact model. The numerical results demonstrate that an increase in the surface charge density reduces the indentation pressure and modifies the electric potential distribution. A higher steady carrier concentration enhances the screening effect, suppresses the electromechanical coupling, and shifts the system response toward purely elastic behaviors. The sensitivity analysis shows that the indentation depth is dominated by the elastic constants, while the electric potential is mainly affected by the piezoelectric coefficient. Although the analysis is carried out with spherical indenters, the model is not limited to a specific indenter shape. It provides an effective tool for investigating complex 3D PSC contact problems and offers useful insights into the design of PSC materials-based devices.

Key words: contact mechanics, semi-analytical method, piezoelectric semiconductor (PSC), conductive indenter, electromechanical response

中图分类号: 

APS Journals | CSTAM Journals | AMS Journals | EMS Journals | ASME Journals