Applied Mathematics and Mechanics (English Edition) ›› 2025, Vol. 46 ›› Issue (10): 1921-1938.doi: https://doi.org/10.1007/s10483-025-3302-9

Previous Articles     Next Articles

Nonlinear traveling wave vibration of rotating ferromagnetic functionally graded cylindrical shells under multi-physics fields

Feng LIAO1,2, Yuda HU1,2,(), Tao YANG1,2, Xiaoman LIU1,2   

  1. 1.School of Civil Engineering and Mechanics, Yanshan University, Qinhuangdao 066004, Hebei Province, China
    2.Hebei Key Laboratory of Mechanical Reliability for Heavy Equipments and Large Structures, Yanshan University, Qinhuangdao 066004, Hebei Province, China
  • Received:2025-06-11 Revised:2025-08-11 Published:2025-09-30
  • Contact: Yuda HU, E-mail: huyuda03@163.com
  • Supported by:
    Project supported by the National Natural Science Foundation of China (No. 12172321)

Abstract:

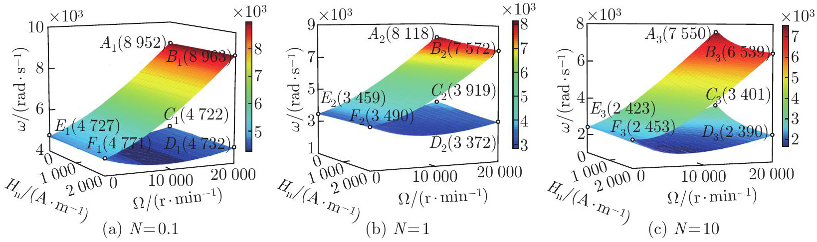
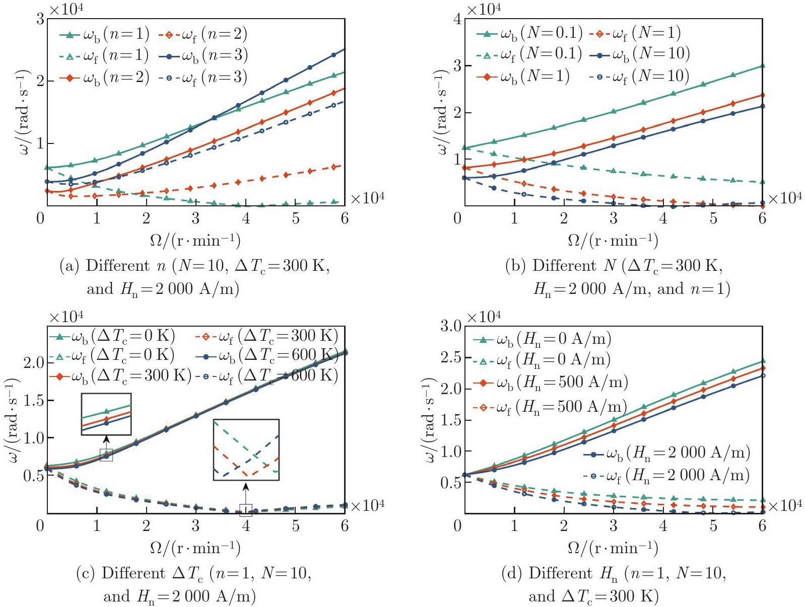
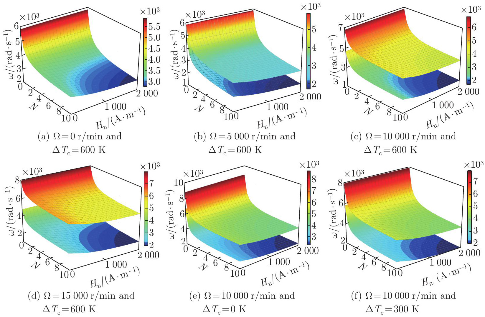
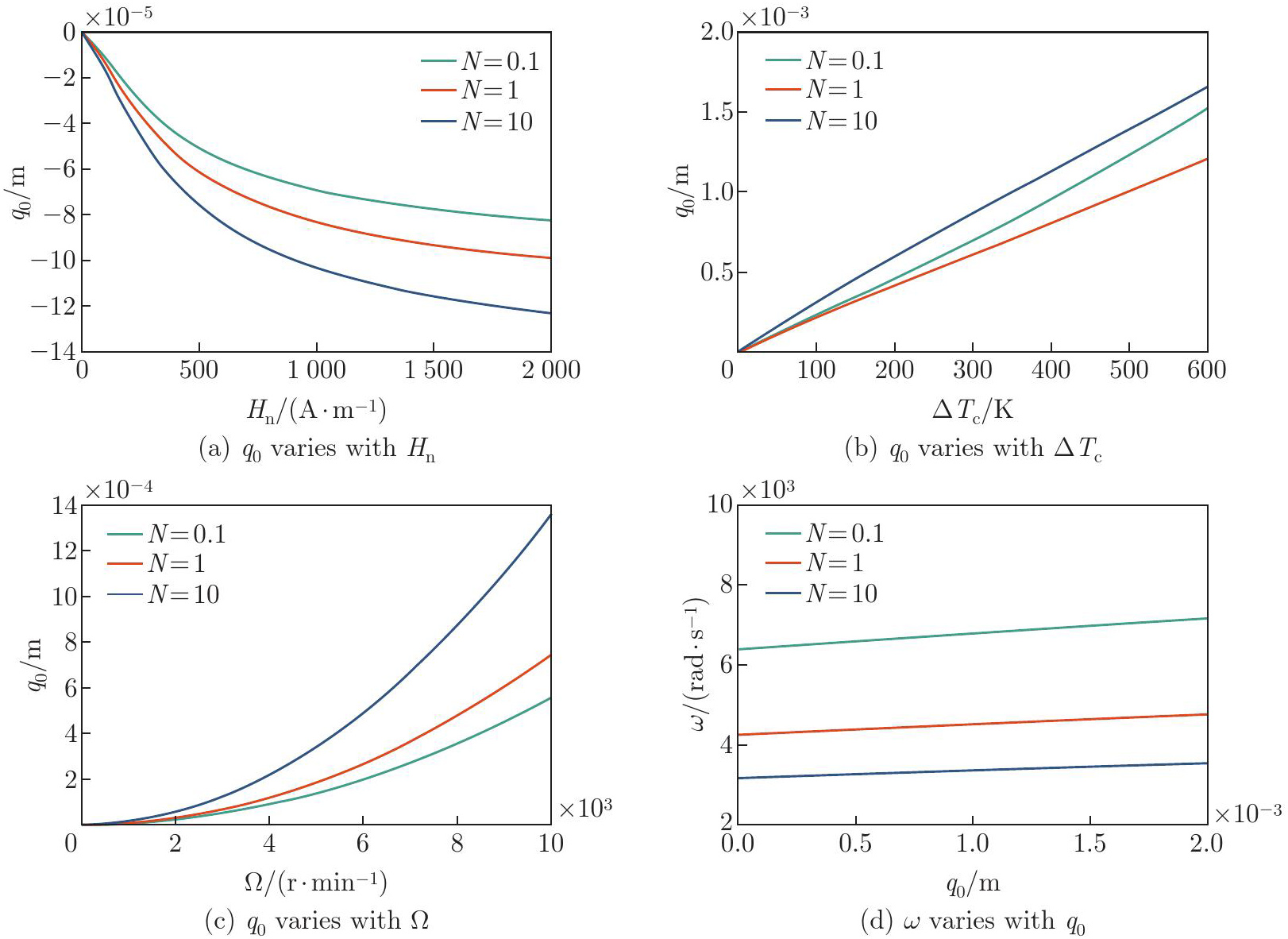
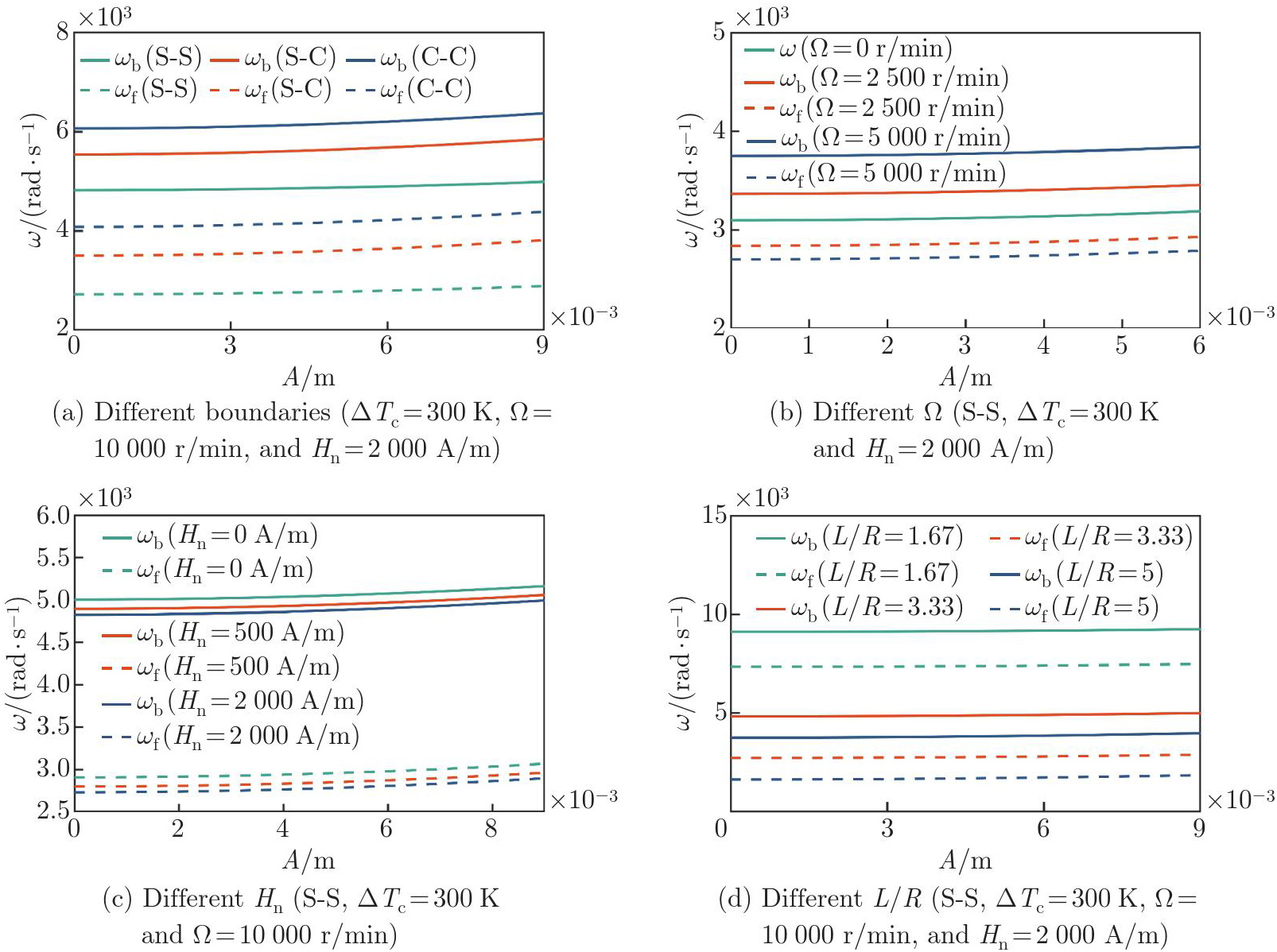
The nonlinear traveling wave vibration of rotating ferromagnetic functionally graded (FG) cylindrical shells under multi-physics fields is investigated. Grounded in the Kirchhoff-Love thin shell theory, the geometric nonlinearity is incorporated into the model, and the constitutive equations are derived. The physical parameters of functionally graded materials (FGMs), which exhibit continuous variation across the thickness gradient, are of particular interest. The nonlinear magneto-thermoelastic governing equations are derived in accord with Hamilton’s principle. The nonlinear partial differential equations are discretized with the Galerkin method, and the analytical expression of traveling wave frequencies is derived with an approximate method. The accuracy of the proposed method is validated through the comparison with the results from the literature and numerical solutions. Finally, the visualization analyses are conducted to examine the effects of key parameters on the traveling wave frequencies. The results show that the factors including the power-law index, temperature, magnetic field intensity, and rotating speed have the coupling effects with respect to the nonlinear vibration behavior.

Key words: ferromagnetic functionally graded (FG) cylindrical shell, nonlinear traveling wave vibration, multi-physics field, approximate analytical method

2010 MSC Number: 

APS Journals | CSTAM Journals | AMS Journals | EMS Journals | ASME Journals