Applied Mathematics and Mechanics (English Edition) ›› 2026, Vol. 47 ›› Issue (2): 303-324.doi: https://doi.org/10.1007/s10483-026-3345-8

• • 上一篇    下一篇

  

  • 收稿日期:2025-08-20 修回日期:2025-11-13 出版日期:2026-02-04 发布日期:2026-02-04

Static and dynamic responses of a piezoelectric semiconductor beam under different boundary conditions

Guoquan NIE1,2, Zhiwei WU3, Jinxi LIU1,3,()   

  1. 1.State Key Laboratory of Mechanical Behavior and System Safety of Traffic EngineeringStructures, Shijiazhuang Tiedao University, Shijiazhuang 050043, China
    2.School of Mechanical Engineering, Shijiazhuang Tiedao University, Shijiazhuang 050043, China
    3.Department of Engineering Mechanics, Hebei Key Laboratory for Mechanics of Intelligent Materials and Structures, Shijiazhuang Tiedao University, Shijiazhuang 050043, China
  • Received:2025-08-20 Revised:2025-11-13 Online:2026-02-04 Published:2026-02-04
  • Contact: Jinxi LIU E-mail:liujx02@hotmail.com
  • Supported by:
    Project supported by the National Natural Science Foundation of China (Nos. U21A20430 and 12472155) and the Natural Science Foundation of Hebei Province of China (No. A2024210002)

Abstract:

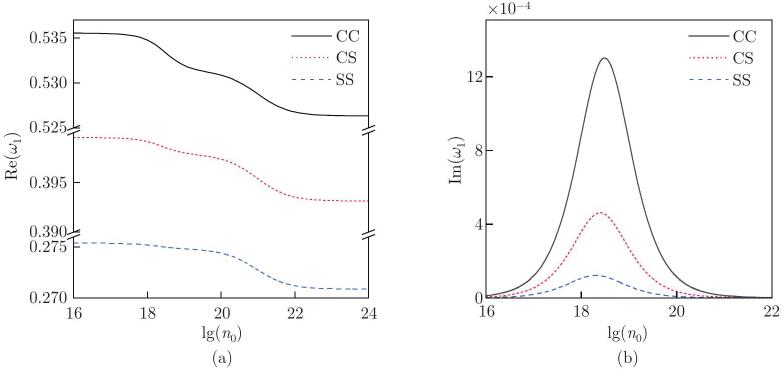
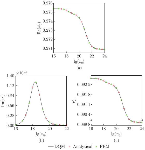
Due to the intrinsic interaction between piezoelectric effects and semiconducting properties, piezoelectric semiconductors (PSs) have great promise for applications in multi-functional electronic devices, requiring a deep understanding of the multi-field coupling behavior. This work investigates the free vibration and buckling characteristics of a PS beam under different mechanical boundary conditions. The coupling fields of a PS beam are modeled by combining the Timoshenko beam theory for mechanical fields with a high-order expansion along the beam thickness for electric fields and carrier distributions. Based on the hypothesis of small perturbation of carrier density, the governing equations and boundary conditions are derived with the principle of virtual work. The differential quadrature method (DQM) is used to solve the boundary-value problem. The analytical solutions for a simply supported-simply supported (SS) PS beam are also obtained for verification. The convergence and correctness of the solutions obtained with the DQM are first evaluated. Subsequently, the effects of initial electron density, boundary conditions, and geometric parameters on the vibration and buckling characteristics are explored through numerical examples, where the finite element simulations are also included. The interaction mechanism of multi-physics fields is revealed. The scale effect on the static and dynamic responses of a PS beam is demonstrated. The derived model and findings are useful for the analysis and design of PS-based devices.

Key words: piezoelectric semiconductor (PS), beam, vibration, buckling, differential quadrature method (DQM), finite element

中图分类号: 

APS Journals | CSTAM Journals | AMS Journals | EMS Journals | ASME Journals