Applied Mathematics and Mechanics (English Edition) ›› 2026, Vol. 47 ›› Issue (2): 347-368.doi: https://doi.org/10.1007/s10483-026-3343-6

• • 上一篇    下一篇

  

  • 收稿日期:2025-08-15 修回日期:2025-11-03 出版日期:2026-02-04 发布日期:2026-02-04

Electro-mechanical-carrier coupling model in fractured piezoelectric semiconductor strip with vertical cracks

Cai REN, Kaifa WANG(), Baolin WANG   

  1. School of Science, Harbin Institute of Technology, Shenzhen, Shenzhen 518055, Guangdong Province, China
  • Received:2025-08-15 Revised:2025-11-03 Online:2026-02-04 Published:2026-02-04
  • Contact: Kaifa WANG E-mail:wangkf@hit.edu.cn
  • Supported by:
    Project supported by the Guangdong Basic and Applied Basic Research Foundation of China (Nos. 2022B1515020099 and 2024A1515240026), the National Natural Science Foundation of China (No. 12372147), and the Fundamental Research Funds for the Central Universities of China (No. HIT.OCEF.2024019)

Abstract:

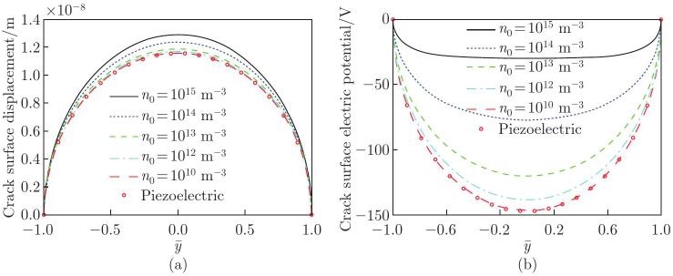
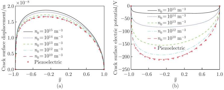
Understanding the fracture behavior of vertical cracks in piezoelectric semiconductor (PS) structures is vital due to their impacts on device reliability. This study establishes a model for a PS strip with a vertical crack under combined mechanical and electric loading, considering both central and edge cracks. Using Fourier transforms and dislocation density functions, the Mode-III problem is converted to Cauchy-type singular integral equations. The crack surface fields, intensity factors, and energy release rate are derived. The accuracy of the proposed model is verified through the finite element (FE) simulation via COMSOL Multiphysics. The results for low electron concentrations align with those of the intrinsic piezoelectric materials, validating the correctness of the present model as well. The combined effects of crack position, applied electric loading, and initial carrier concentration on the crack propagation are analyzed. The normalized electric displacement factor shows heightened sensitivity to crack size, electromechanical loading, and carrier concentration. The crack position significantly influences the crack surface fields and normalized intensity factors due to the boundary proximity effect.

Key words: piezoelectric semiconductor (PS), vertical crack, singular integral equation, electro-mechanical-carrier coupling, extended intensity factor

中图分类号: 

APS Journals | CSTAM Journals | AMS Journals | EMS Journals | ASME Journals