Applied Mathematics and Mechanics (English Edition) ›› 2026, Vol. 47 ›› Issue (1): 61-76.doi: https://doi.org/10.1007/s10483-026-3332-7

Previous Articles     Next Articles

The steady-state dynamic contact of a viscoelastic FGM-coated half-plane under a rigid flat punch

Xiaomin WANG1, Liaoliang KE2, Jie SU2,3,(), Junhong GUO1   

  1. 1.School of Aeronautics, Inner Mongolia University of Technology, Hohhot 010051, China
    2.School of Mechanical Engineering, Tianjin University, Tianjin 300350, China
    3.National Key Laboratory of Vehicle Power System, Tianjin 300350, China
  • Received:2025-07-05 Revised:2025-10-12 Online:2026-01-01 Published:2025-12-30
  • Contact: †Jie SU, E-mail: jiesu@tju.edu.cn
  • Supported by:
    National Natural Science Foundation of China(12021002);Project supported by the National Natural Science Foundation of China (Nos. 12021002, 12192212, and 12462007)

Abstract:

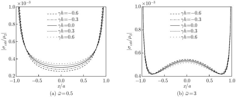
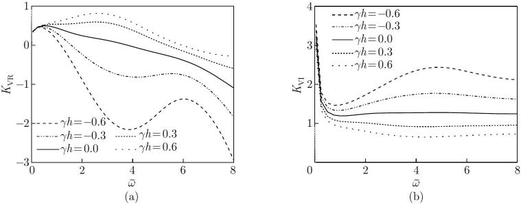
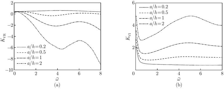
This study explores the dynamic contact response of a viscoelastic functionally graded material (FGM)-coated half-plane under a rigid flat punch subjected to a time-harmonic vertical force. The elastic modulus and mass density of the FGM coating vary exponentially along the thickness direction. The FGM coating and the homogeneous half-plane possess viscoelastic properties, which are described by a linearly hysteretic damping model. By applying the asymptotic method and the Fourier integral transform technique, the contact problem is converted into a Cauchy singular integral equation. The effects of excitation frequency, gradient index, damping factor ratio, and punch width on the vertical impedance and dynamic contact stress are analyzed. The results indicate that adjusting the gradient index of the FGM coating can significantly affect the contact stress and vertical impedance.

Key words: dynamic contact, functionally graded material (FGM) coating, hysteretic damping, flat punch

2010 MSC Number: 

APS Journals | CSTAM Journals | AMS Journals | EMS Journals | ASME Journals