Applied Mathematics and Mechanics (English Edition) ›› 2026, Vol. 47 ›› Issue (1): 77-98.doi: https://doi.org/10.1007/s10483-026-3333-8
Previous Articles Next Articles
Liang MA1, Lang MU1, Wangchi LAN1, Peian LI1, Jun WANG2,†(
), Zhaoye QIN3, Fulei CHU3
Received:2025-06-23
Revised:2025-10-14
Published:2025-12-30
Contact:
Jun WANG, E-mail: wjun@tju.edu.cnSupported by:2010 MSC Number:
Liang MA, Lang MU, Wangchi LAN, Peian LI, Jun WANG, Zhaoye QIN, Fulei CHU. Nonlinear characteristics of a magnetorheological bearing-rotor system. Applied Mathematics and Mechanics (English Edition), 2026, 47(1): 77-98.
Fig. 17
Pressure distributions under varying eccentricities, rotational speeds, and excitation currents: (a) ε=0.5, ω=1 000 rad/s, and I=0 A; (b) ε=0.9, ω=1 000 rad/s, and I=0 A; (c) ε=0.5, ω=100 rad/s, and I=0 A; (d) ε=0.5, ω=1 000 rad/s, and I=1 A; (e) ε=0.9, ω=1 000 rad/s, and I=1 A; (f) ε=0.5, ω=100 rad/s, and I=1 A (color online)"
Fig. 18
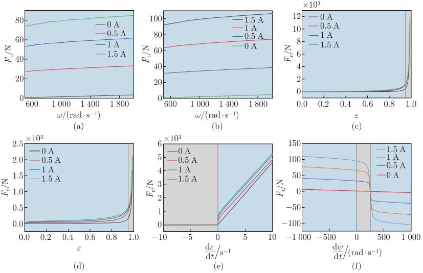
Variations of radial and tangential forces of MR bearing under different excitation currents: (a) radial force versus rotational speed; (b) tangential force versus rotational speed; (c) radial force versus eccentricity; (d) tangential force versus eccentricity; (e) radial force versus rate of change of eccentricity; (f) tangential force versus whirl speed (color online)"
| [1] | ATTIA HILI, M., BOUAZIZ, S., MAATAR, M., FAKHFAKH, T., and HADDAR, M. Hydrodynamic and elastohydrodynamic studies of a cylindrical journal bearing. Journal of Hydrodynamics, 22(2), 155–163 (2010) |
| [2] | DHANDE, D. Y. and PANDE, D. W. Multiphase flow analysis of hydrodynamic journal bearing using CFD coupled fluid structure interaction considering cavitation. Journal of King Saud University-Engineering Sciences, 30(4), 345–354 (2018) |
| [3] | FENG, H., JIANG, S., and JI, A. Investigations of the static and dynamic characteristics of water-lubricated hydrodynamic journal bearing considering turbulent, thermohydrodynamic and misaligned effects. Tribology International, 130, 245–260 (2019) |
| [4] | GAO, G., YIN, Z., JIANG, D., and ZHANG, X. Numerical analysis of plain journal bearing under hydrodynamic lubrication by water. Tribology International, 75, 31–38 (2014) |
| [5] | MA, H., LI, H., NIU, H., SONG, R., and WEN, B. Numerical and experimental analysis of the first-and second-mode instability in a rotor-bearing system. Archive of Applied Mechanics, 84(4), 519–541 (2014) |
| [6] | NAIR, K. P., AHMED, M. S., and AL-QAHTANI, S. T. Static and dynamic analysis of hydrodynamic journal bearing operating under nano lubricants. International Journal of Nanoparticles, 2(1-6), 251–262 (2009) |
| [7] | SUN, J. and GUI, C. L. Hydrodynamic lubrication analysis of journal bearing considering misalignment caused by shaft deformation. Tribology International, 37(10), 841–848 (2004) |
| [8] | ZHENG, H. F., XUE, Y. S., and CHEN, Y. S. Quantitative methodology for stability analysis of nonlinear rotor systems. Applied Mathematics and Mechanics (English Edition), 26(9), 1138–1145 (2005) https://doi.org/10.1007/BF02507723 |
| [9] | MA, H., WANG, X., NIU, H., and WEN, B. Oil-film instability simulation in an overhung rotor system with flexible coupling misalignment. Archive of Applied Mechanics, 85(7), 893–907 (2015) |
| [10] | CHANG-JIAN, C. W. and CHEN, C. K. Chaos and bifurcation of a flexible rotor supported by porous squeeze couple stress fluid film journal bearings with non-linear suspension. Chaos, Solitons & Fractals, 35(2), 358–375 (2008) |
| [11] | CUI, Y., LIU, Z., WANG, Y., and YE, J. Nonlinear dynamic of a geared rotor system with nonlinear oil film force and nonlinear mesh force. Journal of Vibration and Acoustics, 134(4), 041001 (2012) |
| [12] | RHO, B. H. and KIM, K. W. A study of the dynamic characteristics of synchronously controlled hydrodynamic journal bearings. Tribology International, 35(5), 339–345 (2002) |
| [13] | SCHWEIZER, B. and SIEVERT, M. Nonlinear oscillations of automotive turbocharger turbines. Journal of Sound and Vibration, 321(3-5), 955–975 (2009) |
| [14] | TALA-IGHIL, N., FILLON, M., and MASPEYROT, P. Effect of textured area on the performances of a hydrodynamic journal bearing. Tribology International, 44(3), 211–219 (2011) |
| [15] | VISNADI, L. B. and DE CASTRO, H. F. Influence of bearing clearance and oil temperature uncertainties on the stability threshold of cylindrical journal bearings. Mechanism and Machine Theory, 134, 57–73 (2019) |
| [16] | CHEN, C. L. and YAU, H. T. Chaos in the imbalance response of a flexible rotor supported by oil film bearings with non-linear suspension. Nonlinear Dynamics, 16(1), 71–90 (1998) |
| [17] | MA, H., LI, H., ZHAO, X., NIU, H., and WEN, B. Effects of eccentric phase difference between two discs on oil-film instability in a rotor-bearing system. Mechanical Systems and Signal Processing, 41(1-2), 526–545 (2013) |
| [18] | ZHAO, J. Y., LINNETT, I. W., and MCLEAN, L. J. Subharmonic and quasi-periodic motions of an eccentric squeeze film damper-mounted rigid rotor. Journal of Vibration and Acoustics, 116(3), 357–363 (1994) |
| [19] | SUN, W., YAN, Z., TAN, T., ZHAO, D., and LUO, X. Nonlinear characterization of the rotor-bearing system with the oil-film and unbalance forces considering the effect of the oil-film temperature. Nonlinear Dynamics, 92(3), 1119–1145 (2018) |
| [20] | XIA, Z., QIAO, G., ZHENG, T., and ZHANG, W. Nonlinear modeling and dynamic analysis of the rotor-bearing system. Nonlinear Dynamics, 57(4), 559–577 (2009) |
| [21] | VARNEY, P. and GREEN, I. Response to Comments on: “Nonlinear phenomena, bifurcations, and routes to chaos in an asymmetrically supported rotor-stator contact system” by Philip Varney, Itzhak Green [J. Sound Vib. 336(2015) 207–226]. Journal of Sound and Vibration, 409, 343–346 (2017) |
| [22] | YANG, Y., WANG, Y., and GAO, Z. Nonlinear analysis of a rub-impact rotor with random stiffness under random excitation. Advances in Mechanical Engineering, 8(9), 1687814016668090 (2016) |
| [23] | CHIANG, Y. K. Corrected SFD: a more accurate galactic dust map with minimal extragalactic contamination. The Astrophysical Journal, 958(2), 118 (2023) |
| [24] | DUCLOS, M., OPPERT, J. M., VERGES, B., COLICHE, V., GAUTIER, J. F., GUEZENNEC, Y., REACH, G., and STRAUCH, G. Physical activity and type 2 diabetes: recommandations of the SFD (Francophone Diabètes Society) diabetes and physical activity working group. Diabetes & Metabolism, 39(3), 205–216 (2013) |
| [25] | NANDI, A., KROTHAPALLI, K., BUSEMAN, C. M., LI, M. Y., WELTI, R., ENYEDI, A., and SHAH, J. Arabidopsis sfd mutants affect plastidic lipid composition and suppress dwarfing, cell death, and the enhanced disease resistance phenotypes resulting from the deficiency of a fatty acid desaturase. The Plant Cell, 15(10), 2383–2398 (2003) |
| [26] | SCHLAFLY, E. F. and FINKBEINER, D. P. Measuring reddening with Sloan digital sky survey stellar spectra and recalibrating SFD. The Astrophysical Journal, 737(2), 103 (2011) |
| [27] | BRIZMER, V. and KLIGERMAN, Y. A laser surface textured journal bearing. Journal of Tribology, 134(3), 031702 (2012) |
| [28] | PEI, S., XU, H., YUN, M., SHI, F., and HONG, J. Effects of surface texture on the lubrication performance of the floating ring bearing. Tribology International, 102, 143–153 (2016) |
| [29] | SAN ANDRÉS, L. and KERTH, J. Thermal effects on the performance of floating ring bearings for turbochargers. Proceedings of the Institution of Mechanical Engineers, Part J: Journal of Engineering Tribology, 218(5), 437–450 (2004) |
| [30] | SILVA, H. A. P. and NICOLETTI, R. Rotor vibration control using tilting-pad journal bearing with active pads: numerical and experimental results. Journal of Sound and Vibration, 546, 117441 (2023) |
| [31] | LIU, Y., WANG, B., YANG, S., LIAO, Y., and GUO, T. Characteristic analysis of mechanical thermal coupling model for bearing rotor system of high-speed train. Applied Mathematics and Mechanics (English Edition), 43(9), 1381–1398 (2022) https://doi.org/10.1007/s10483-022-2893-5 |
| [32] | YU, H., CHEN, Y. S., and CAO, Q. J. Bifurcation analysis for nonlinear multi-degree-of-freedom rotor system with liquid-film lubricated bearings. Applied Mathematics and Mechanics (English Edition), 34(6), 777–790 (2013) https://doi.org/10.1007/s10483-013-1706-9 |
| [33] | ASHFAK, A., SAHEED, A., RASHEED, K. A., and JALEEL, J. A. Design, fabrication and evaluation of MR damper. International Journal of Aerospace and Mechanical Engineering, 1, 27–33 (2011) |
| [34] | CHO, S. W., JUNG, H. J., and LEE, I. W. Smart passive system based on magnetorheological damper. Smart Materials and Structures, 14(4), 707–714 (2005) |
| [35] | GUO, S., YANG, S., and PAN, C. Dynamic modeling of magnetorheological damper behaviors. Journal of Intelligent Material Systems and Structures, 17(1), 3–14 (2006) |
| [36] | IMADUDDIN, F., MAZLAN, S. A., and ZAMZURI, H. A design and modelling review of rotary magnetorheological damper. Materials & Design, 51, 575–591 (2013) |
| [37] | YAO, G. Z., YAP, F. F., CHEN, G., LI, W., and YEO, S. H. MR damper and its application for semi-active control of vehicle suspension system. Mechatronics, 12(7), 963–973 (2002) |
| [38] | QIN, Z., QIN, L., ZHU, Q., WANG, P., ZHANG, F., and CHU, F. An ultrasensitive self-powered smart bearing pedestal with fault locating capability. Mechanical Systems and Signal Processing, 235, 112924 (2025) |
| [39] | WANG, J., ZHANG, X., LIU, Y., QIN, Z., MA, L., and CHU, F. Rotor vibration control via integral magnetorheological damper. International Journal of Mechanical Sciences, 252, 108362 (2023) |
| [40] | WANG, J., ZHANG, X., LIU, Y., QIN, Z., MA, L., HONG, F., and CHU, F. Dynamic analysis of magnetorheological damper incorporating elastic ring in coupled multi-physical fields. Mechanical Systems and Signal Processing, 208, 111040 (2024) |
| [41] | KAVLICOGLU, B. M., GORDANINEJAD, F., and WANG, X. Study of a magnetorheological grease clutch. Smart Materials and Structures, 22(12), 125030 (2013) |
| [42] | BUCCHI, F., FORTE, P., FRANCESCHINI, A., and FRENDO, F. Analysis of differently sized prototypes of an MR clutch by performance indices. Smart Materials and Structures, 22(10), 105009 (2013) |
| [43] | PISETSKIY, S. and KERMANI, M. R. A concept of a miniaturized MR clutch utilizing MR fluid in squeeze mode. 2020 IEEE/RSJ International Conference on Intelligent Robots and Systems, IEEE, Las Vegas, NV, USA (2020) |
| [44] | PARK, J. Y., OH, J. S., and KIM, Y. C. Design and control of multi-plate MR clutch featuring friction and magnetic field control modes. Sensors (Basel), 22(5), 1757 (2022) |
| [45] | LI, W. H. and DU, H. Design and experimental evaluation of a magnetorheological brake. The International Journal of Advanced Manufacturing Technology, 21, 508–515 (2003) |
| [46] | KARAKOC, K., PARK, E. J., and SULEMAN, A. Design considerations for an automotive magnetorheological brake. Mechatronics, 18(8), 434–447 (2008) |
| [47] | KUMBHAR, B. K., PATIL, S. R., and SAWANT, S. M. Synthesis and characterization of magneto-rheological (MR) fluids for MR brake application. Engineering Science and Technology, an International Journal, 18(3), 432–438 (2015) |
| [48] | LIJESH, K. P., KUMAR, D., and HIRANI, H. Effect of disc hardness on MR brake performance. Engineering Failure Analysis, 74, 228–238 (2017) |
| [49] | NGUYEN, Q. H. and CHOI, S. B. Optimal design of a novel hybrid MR brake for motorcycles considering axial and radial magnetic flux. Smart Materials and Structures, 21(5), 055003 (2012) |
| [50] | LAUKIAVICH, C. A., BRAUN, M. J., and CHANDY, A. J. A comparison between the performance of ferro- and magnetorheological fluids in a hydrodynamic bearing. Proceedings of the Institution of Mechanical Engineers, Part J: Journal of Engineering Tribology, 228(6), 649–666 (2014) |
| [51] | CARLSON, J. D. MagnelokTM Technology—a Compliment to Magnetorheological Fluids, SPIE, San Diego, CA, United States (2004) |
| [52] | DHUMAL, J., BANDGAR, S., ZIPARE, K., and SHAHANE, G. Fe3O4 ferrofluid nanoparticles: synthesis and rheological behavior. International Journal of Materials Chemistry and Physics, 1, 141–145 (2015) |
| [53] | PATEL, N. S., VAKHARIA, D. P., and DEHERI, G. M. A study on the performance of a magnetic-fluid-based hydrodynamic short journal bearing. ISRN Mechanical Engineering, 2012, 603460 (2012) |
| [54] | URRETA, H., LEICHT, Z., SANCHEZ, A., AGIRRE, A., KUZHIR, P., and MAGNAC, G. Hydrodynamic bearing lubricated with magnetic fluids. Journal of Intelligent Material Systems and Structures, 21(15), 1491–1499 (2010) |
| [55] | SUSAN-RESIGA, D. and VEKAS, L. From high magnetization ferrofluids to nano-micro composite magnetorheological fluids: properties and applications. Romanian Reports in Physics, 70(1), 501 (2018) |
| [56] | ZAPOMĚL, J. and FERFECKI, P. A new concept of a hydrodynamic bearing lubricated by composite magnetic fluid for controlling the bearing load capacity. Mechanical Systems and Signal Processing, 168, 108678 (2022) |
| [57] | RAO, B. N. and SEKHAR, A. S. Analysis of magneto rheological fluid journal bearing. Applied Mechanics and Materials, 895, 152–157 (2019) |
| [58] | QUINCI, F., LITWIN, W., WODTKE, M., and VAN DEN NIEUWENDIJK, R. A comparative performance assessment of a hydrodynamic journal bearing lubricated with oil and magnetorheological fluid. Tribology International, 162, 107143 (2021) |
| [59] | ZAPOMĚL, J., FERFECKI, P., and FORTE, P. A new mathematical model of a short magnetorheological squeeze film damper for rotordynamic applications based on a bilinear oil representation — derivation of the governing equations. Applied Mathematical Modelling, 52, 558–575 (2017) |
| [60] | JING, Z., SUN, S., OUYANG, Y., ZHANG, S., LI, W., and ZHENG, J. Design and modeling analysis of a changeable stiffness robotic leg working with magnetorheological technology. Journal of Intelligent Material Systems and Structures, 29(19), 3725–3736 (2018) |
| [1] | YU Min;LUO Ji-Sheng. Nonlinear evolution of Klebanoff type second mode disturbances in supersonic flat-plate boundary layer [J]. Applied Mathematics and Mechanics (English Edition), 2014, 35(3): 359-368. |
| [2] | Zhao Yucheng;Yuan Shuqing;Xiao Zhonghui;Xu Qingyu. THE FRACTIONAL DIMENSION IDENTIFICATION METHOD OF CRITICAL BIFURCATED PARAMETERS OF BEARING-ROTOR SYSTEM [J]. Applied Mathematics and Mechanics (English Edition), 2000, 21(2): 141-146. |
| Viewed | ||||||
|
Full text |
|
|||||
|
Abstract |
|
|||||

Email Alert
RSS