Applied Mathematics and Mechanics (English Edition) ›› 2025, Vol. 46 ›› Issue (5): 885-906.doi: https://doi.org/10.1007/s10483-025-3254-9
Previous Articles Next Articles
Xindan GUO1, Qiming LIU2,†(
), Xu HAN1,2, Tao LI2, Bin'an JIANG3, Canwei CAI3
Received:2024-11-11
Revised:2025-03-27
Online:2025-05-07
Published:2025-05-07
Contact:
Qiming LIU, E-mail: q.m.liu@hebut.edu.cnSupported by:2010 MSC Number:
Xindan GUO, Qiming LIU, Xu HAN, Tao LI, Bin'an JIANG, Canwei CAI. High-precision numerical modeling of the projectile launch and failure mechanism analysis of projectile-borne components. Applied Mathematics and Mechanics (English Edition), 2025, 46(5): 885-906.
Table 6
Material properties of the propellant"
| Name | Value | Unit | Name | Value | Unit |
|---|---|---|---|---|---|
| Density | kg/m3 | Reference temperature | 293 | K | |
| Bulk modulus | kPa | Thermal conductivity | 0 | J/(kg ·K) | |
| Specific heat | 0 | J/(kg · K) | Reaction growth constant | 0.23 | mm-1 |
| Specific energy | kJ/m3 | Reaction growth exponent | 0.5 | ||
| Parameter | 1.003 3 | Burn rate coefficient | 0.650 0 | ||
| Yield stress | kPa | Burn rate exponent | 0.954 5 | ||
| Shear modulus | kPa | Ignition front velocity coefficient | 40.37 | m/s |
Table 7
Comparative results between simulations and experiments"
| Variable | Experiment 1 | Vacuum model | Air model | Band model | |||
| Value | Error/% | Value | Error/% | Value | Error/% | ||
| Time/ms | 11.25 | 11.00 | 2.22 | 11.10 | 1.33 | 11.90 | 5.78 |
| Pressure/MPa | 241.03 | 254.72 | 5.68 | 255.62 | 6.05 | 234.95 | 2.52 |
| Velocity/ | 693 | 664 | 4.18 | 661 | 4.62 | 640 | 7.65 |
| Variable | Experiment 2 | Vacuum model | Air model | Band model | |||
| Value | Error/% | Value | Error/% | Value | Error/% | ||
| Time/ms | 12.83 | 12.80 | 0.23 | 12.90 | 0.55 | 12.12 | 5.53 |
| Pressure/MPa | 194.33 | 197.31 | 1.53 | 197.19 | 1.47 | 190.11 | 2.17 |
| Velocity/ | 664 | 604 | 9.04 | 603 | 9.19 | 587 | 11.60 |
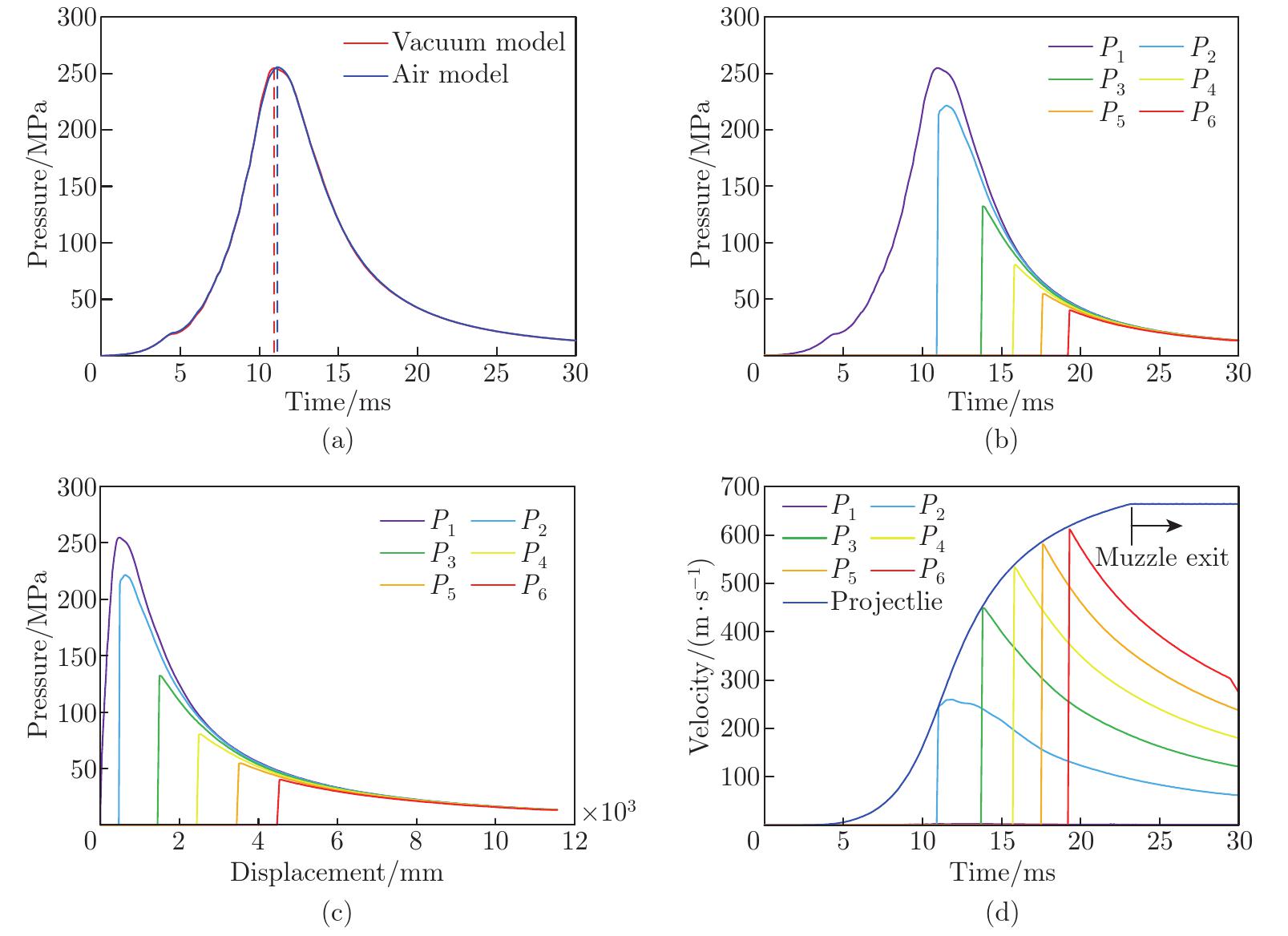
Fig. 12
Interior flow characteristics in the bore: (a) breech pressure loads from the vacuum and air models, (b) pressure loads at different gauge points vs. time, (c) pressure loads at different gauge points vs. projectile displacement, and (d) projectile velocity and flow velocity of the propellant at different gauge points (color online)"
Table 8
The material properties of each part in the finite element model where ABS denotes acrylonitrile-butadiene-styrene"
| Part name | Material | Density/(kg · m-3) | Elastic modulus/kPa | Poisson's ratio |
|---|---|---|---|---|
| Projectile body | Steel | 0.27 | ||
| Inner cylinder | Aluminum | 0.33 | ||
| Fixed bearing | Aluminum | 0.33 | ||
| PCB | Epoxy resin[ | 0.18 | ||
| Optical lens | Optical glass[ | 0.21 | ||
| Lens housings | ABS plastic | 0.39 | ||
| Buffer assembly | Cushion rubber[ | – | 0.50 |
Table 9
Effects of the friction coefficient on the PCB equivalent stress"
| Friction coefficient | Spatial location | Time/ms | |||
|---|---|---|---|---|---|
| Center (0%–25%) | Near-center (25%–50%) | Near-edge (50%–75%) | Edge (75%–100%) | ||
| 0.05 | Moderate | Moderate | Low | High | 7.5–15.0, 25–30 |
| 0.10 | Low | Moderate | Moderate | High | 5.0–15.0, 25–30 |
| 0.15 | Low | Moderate | High | High | 7.5–15.0, 25–30 |
| 0.20 | High | Moderate | High | High | 7.5–15.0, 25–30 |
| 0.25 | High | High | High | High | 7.5–17.5, 25–30 |
| 0.30 | High | High | High | High | 7.5–17.5, 25–30 |
| [1] | MI, J., LI, J., ZHANG, X., FENG, K. Q., HU, C. J., WEI, X. K., and YUAN, X. Q.Roll angular rate measurement for high spinning projectiles based on redundant gyroscope system. Micromachines, 11(10), 940 (2020) |
| [2] | FRESCONI, F., COOPER, G., CELMINS, I., DESPIRITO, J., and COSTELLO, M.Flight mechanics of a novel guided spin-stabilized projectile concept. Proceedings of the Institution of Mechanical Engineers Part G-Journal of Aerospace Engineering, 226(G3), 327–340 (2012) |
| [3] | YAN, A., PI, A. G., YANG, H., HUANG, F. L., and WANG, X. F.Study on the equivalence of penetration overloading for projectile-borne components in nonproportional penetrators. Shock and Vibration, 2022(1), 533064 (2022) |
| [4] | VERBERNE, P., MEGUID, S. A., and ELSAYED, E. A.Survivability of embedded microelectronics in precision guided projectiles: modeling and characterization. International Journal of Impact Engineering, 154, 103864 (2021) |
| [5] | JANG, J. S., SUNG, H. G., ROH, T. S., and CHOI, D. W.Numerical analysis of interior ballistics through eulerian-lagrangian approach. Journal of Mechanical Science and Technology, 27(8), 2351–2357 (2013) |
| [6] | CHENG, C. and ZHANG, X. B.Numerical simulation of two-phase reactive flow with moving boundary. International Journal of Numerical Methods for Heat & Fluid Flow, 23(8), 1277–1290 (2013) |
| [7] | CHENG, C. and ZHANG, X. B.Numerical investigation of two-phase reactive flow with two moving boundaries in a two-stage combustion system. Applied Thermal Engineering, 156, 422–431 (2019) |
| [8] | HUNG, N. V., DOAN, D. V., DUNG, N. V., and LINH, D. D.A thermodynamic model for interior ballistics of an amphibious rifle. Journal of Science and Technique, 15(4), 48–62 (2020) |
| [9] | ZHANG, D. H., WANG, C., SHEN, Y. Y., WEI, Y. J., and XU, H. Y.Dynamic modeling and motion prediction of two projectiles launched successively underwater. Ocean Engineering, 292, 116551 (2024) |
| [10] | LUO, Q. and ZHANG, X. B.Numerical simulation of gas-solid two-phase reaction flow with multiple moving boundaries. International Journal of Numerical Methods for Heat & Fluid Flow, 25(2), 375–390 (2015) |
| [11] | WANG, J. G., YU, Y. G., ZHOU, L. L., and YE, R.Numerical simulation and optimized design of cased telescoped ammunition interior ballistic. Defence Technology, 14(2), 119–125 (2018) |
| [12] | VO, N. D., JUNG, M. Y., OH, D. H., PARK, J. S., MOON, I., and OH, M.Moving boundary modeling for solid propellant combustion. Combustion and Flame, 189, 12–23 (2018) |
| [13] | POLEZHAEV, Y. V. and STONIK, O. G.From deflagration to detonation: three modes of combustion. High Temperature, 48(4), 534–540 (2010) |
| [14] | ALEXEY, K., VASILIY, P., KSENIA, M., and DMITRY, K.Metalized solid propellant combustion under high-speed blowing flow. Journal of Mechanical Science and Technology, 34(5), 2245–2253 (2020) |
| [15] | MIURA, H., MATSUO, A., and NAKAMURA, Y.Numerical prediction of interior ballistics performance of projectile accelerator using granular or tubular solid propellant. Propellants Explosives Pyrotechnics, 38(2), 204–213 (2013) |
| [16] | DONG, X. L., RUI, X. T., and LI, C.Interior ballistic two-phase flow model and its calculation for a mixed charge structure. International Communications in Heat and Mass Transfer, 144, 106788 (2023) |
| [17] | HOU, Y. D. and ZHANG, X. B.Peridynamic simulation for the laser ignition model of energetic material with cracks. International Journal of Heat and Mass Transfer, 215, 124524 (2023) |
| [18] | WANG, Z. J., QIANG, H. F., WANG, T. J., WANG, G., and HOU, X.A thermovisco-hyperelastic constitutive model of HTPB propellant with damage at intermediate strain rates. Mechanics of Time-Dependent Materials, 22(3), 291–314 (2018) |
| [19] | BOULKADID, K. M., TRACHE, D., KRAI, S., LEFEBVRE, M. H., JEUNIEAU, L., and DEJEAIFVE, A.Estimation of the ballistic parameters of double base gun propellants. Propellants Explosives Pyrotechnics, 45(5), 751–758 (2020) |
| [20] | BI, S. F., HUANG, Y., ZHAO, J. Y., WANG, S. Y., and WANG, H.A parameter determination method of powder burn model based on Levenberg-Marquardt optimization. Journal of Energetic Materials, 2024, 1–19 (2024) |
| [21] | WU, Z. Q., WANG, Y., ZHU, L. H., and YANG, F.Design of a projectile-borne data recorder triggered by overload. Electronics, 9(5), 860 (2020) |
| [22] | NIU, S. H., LI, B., LI, B. Y., WANG, P. F., and SONG, Y. X.Analysis and design of small-impact magnetoelectric generator. Machines, 11(12), 1040 (2023) |
| [23] | ZHANG, Z. J., XU, Z. J., SHAO, X. D., LI, Y. Q., and LI, B. W.Damage boundary of piezoresistive pressure sensor under shock environment. Acta Astronautica, 192, 328–340 (2022) |
| [24] | LI, J., LI, C. L., JIANG, M., and ZHOU, D.Mechanical analysis of failure of projectile-borne vibration sensor under high overload. Journal of Physics: Conference Series, 1168(2), 022015 (2019) |
| [25] | JIANG, W. C., LU, Y. G., and ZHAO, J. Y.Researching the influence of preload on vibration characteristics in the ballistic recorder vibration damping system. Shock and Vibration, 2024(1), 5868224 (2024) |
| [26] | LONG, Y. T., LV, M. T., and HE, H.Failure mechanism and predictive modeling for microbump interconnects drop life under diverse impact angles in advanced packaging. IEEE Transactions on Device and Materials Reliability, 24(2), 241–249 (2024) |
| [27] | WONG, E. H., SEAH, S. K. W., VAN DRIEL, W. D., CAERS, J., OWENS, N., and LAI, Y. S.Advances in the drop-impact reliability of solder joints for mobile applications. Microelectronics Reliability, 49(2), 139–149 (2009) |
| [28] | SUN, J., XU, S. Q., LU, G. X., WANG, Q., and GONG, A.Ballistic impact experiments of titanium-based carbon-fibre/epoxy laminates. Thin-Walled Structures, 179, 109709 (2022) |
| [29] | YANG, Y. X., DAI, K. R., YIN, Q., LIU, P., YU, D., LI, H. J., and ZHANG, H.In-bore dynamic measurement and mechanism analysis of multi-physics environment for electromagnetic railguns. IEEE Access, 9, 16999–17010 (2021) |
| [30] | CHAKKA, V., TRABIA, M. B., O'TOOLE, B., SRIDHARALA, S., LADKANY, S., and CHOWDHURY, M.Modeling and reduction of shocks on electronic components within a projectile. International Journal of Impact Engineering, 35(11), 1326–1338 (2008) |
| [31] | ZHANG, J. J., LU, G. X., ZHANG, Y., and YOU, Z.A study on ballistic performance of origami sandwich panels. International Journal of Impact Engineering, 156, 103925 (2021) |
| [32] | CHAO, N. H., CORDES, J. A., CARLUCCI, D., DEANGELIS, M. E., and LEE, J.The use of potting materials for electronic-packaging survivability in smart munitions. Journal of Electronic Packaging, 133(4), 041003 (2011) |
| [33] | JOHNSON, G. R. and COOK, W. H.Fracture characteristics of three metals subjected to various strains, strain rates, temperatures and pressures. Engineering Fracture Mechanics, 21(1), 31–48 (1985) |
| [34] | VERBERNE, P. and MEGUID, S. A.Dynamics of precision-guided projectile launch: fluid-structure interaction. Acta Mechanica, 232(3), 1147–1161 (2021) |
| [35] | KHOMENKO, Y. P. and SHIROKOV, V. M.Determining the unsteady combustion behavior of propellants from results of closed-bomb testing. Combustion Explosion and Shock Waves, 42(2), 149–157 (2006) |
| [36] | LIU, Q. M., LIU, J., WU, X. F., HAN, X., CAO, L. X., and GUAN, F. J.An inverse reconstruction approach considering uncertainty and correlation for vehicle-vehicle collision accidents. Structural and Multidisciplinary Optimization, 60(2), 681–698 (2019) |
| [37] | ZHANG, L. G., LU, Z. Z., CHENG, L., and FAN, C. Q.A new method for evaluating Borgonovo moment-independent importance measure with its application in an aircraft structure. Reliability Engineering & System Safety, 132, 163–175 (2014) |
| [38] | SMESTADA, E., MOXNESB, J. F., and DEGARDSTUENA, G.Modelling of deflagration, establishing material data into Ansys Autodyn's powder burn model. International annual conference of Fraunhofer Institut Chemische Technologie, Karlsruhe, Germany, 26–29 (2011) |
| [39] | YIN, X. W., VERBERNE, P., and MEGUID, S. A.Multiphysics modelling of the coupled behaviour of precision-guided projectiles subjected to intense shock loads. International Journal of Mechanics and Materials in Design, 10(4), 439–450 (2014) |
| [40] | VERBERNE, P. and MEGUID, S. A.Dynamics of precision guided projectile launch: solid-solid interaction. International Journal of Structural Stability and Dynamics, 20(14), 2043001 (2020) |
| [41] | ZHANG, L., HAN, J. G., GUO, Y., and HE, C. W.Anand model and FEM analysis of SnAgCuZn lead-free solder joints in wafer level chip scale packaging devices. Microelectronics Reliability, 54(1), 281–286 (2014) |
| [42] | ZHOU, T. F., ZHOU, Q., XIE, J. Q., LIU, X. H., WANG, X. B., and RUAN, H. H.Elastic-viscoplasticity modeling of the thermo-mechanical behavior of chalcogenide glass for aspheric lens molding. International Journal of Applied Glass Science, 9(2), 252–262 (2018) |
| [43] | SHU, C. S., YIN, S. H., LI, Y. Q., MAO, Z. Z., GUO, X. P., and HUANG, S.High-precision molding simulation prediction of glass lens profile for a new lanthanide optical glass. Ceramics International, 48(11), 15800–15810 (2022) |
| [44] | PENG, X. F., HAN, L., and LI, L. X.A consistently compressible Mooney-Rivlin model for the vulcanized rubber based on the Penn's experimental data. Polymer Engineering and Science, 61(9), 2287–2294 (2021) |
| [1] | Yiqiang CHEN, Wenjuan YAO, Shaofeng LIU. Numerical simulation of Corti stimulated by fluid in tunnel of Corti [J]. Applied Mathematics and Mechanics (English Edition), 2017, 38(5): 737-748. |
| [2] | Xiao-Hui LIU;Bo YAN;Hong-Yan ZHANG;Song ZHOU. Nonlinear numerical simulation method for galloping of iced conductor [J]. Applied Mathematics and Mechanics (English Edition), 2009, 30(4): 489-501. |
| [3] | HE Xiao-ting;CHEN Shan-lin. BIPARAMETRIC PERTURBATION SOLUTIONS OF LARGE DEFLECTION PROBLEM OF CANTILEVER BEAMS [J]. Applied Mathematics and Mechanics (English Edition), 2006, 27(4): 453-460 . |
| [4] | GUO Mao-lin;MENG Qing-yuan;WANG Biao . RESEARCH FOR THE STRAIN ENERGY RELEASE RATE OF COMPLEX CRACKS BY USING POINT-BY-POINT CLOSED EXTRAPOLATION APPROACH [J]. Applied Mathematics and Mechanics (English Edition), 2003, 24(4): 421-426. |
| [5] | WANG Deng-gang;LIU Ying-xi;LI Shou-ju. CHAOS-REGULARIZATION HYBRID ALGORITHM FOR NONLINEAR TWO-DIMENSIONAL INVERSE HEAT CONDUCTION PROBLEM [J]. Applied Mathematics and Mechanics (English Edition), 2002, 23(8): 973-980. |
| [6] | CHIEN Wei-zang . SECOND ORDER APPROXIMATION SOLUTION OF NONLINEAR LARGE DEFLECTION PROBLEMS OF YONGJIANG RAILWAY BRIDGE IN NINGBO [J]. Applied Mathematics and Mechanics (English Edition), 2002, 23(5): 493-506. |
| [7] | Yin Bangxin . ITERATIVE METHOD FOR LARGE DEFLECTION NONLINEAR PROBLEM OF LAMINATED COMPOSITE SHALLOW SHELLS AND PLATES [J]. Applied Mathematics and Mechanics (English Edition), 1999, 20(7): 773-780. |
| Viewed | ||||||
|
Full text |
|
|||||
|
Abstract |
|
|||||

Email Alert
RSS