Applied Mathematics and Mechanics (English Edition) ›› 2025, Vol. 46 ›› Issue (10): 1829-1850.doi: https://doi.org/10.1007/s10483-025-3306-9

    Next Articles

Non-planar vibration characteristics and buckling behaviors of two fluid-conveying pipes coupled with an intermediate spring

Dali WANG1,2, Tianli JIANG3,(), Huliang DAI1,2, Lin WANG1,2   

  1. 1.Department of Engineering Mechanics, Huazhong University of Science andTechnology, Wuhan 430074, China
    2.Hubei Key Laboratory for Engineering Structural Analysis and Safety Assessment, Wuhan 430074, China
    3.Department of Engineering Structure and Mechanics, Wuhan University of Technology, Wuhan 430070, China
  • Received:2025-07-02 Revised:2025-08-21 Published:2025-09-30
  • Contact: Tianli JIANG, E-mail: jiangtianli@whut.edu.cn
  • Supported by:
    Project supported by the National Natural Science Foundation of China (Nos. 12325201, 12272140, and 12322201)

Abstract:

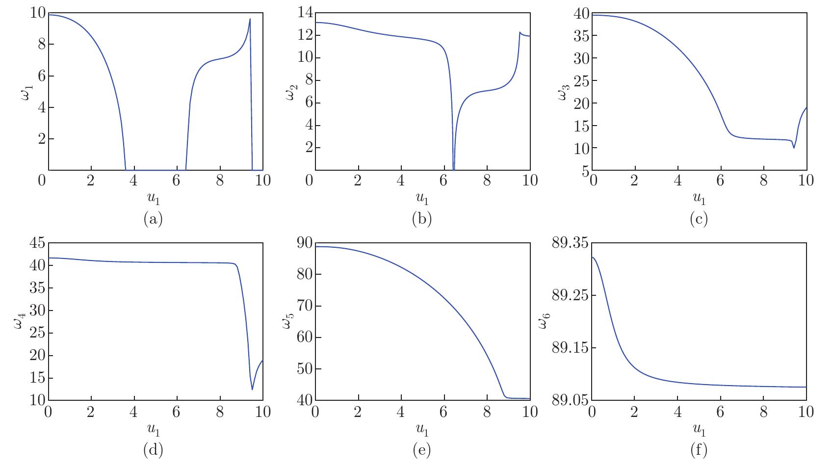
This study investigates the dynamical behavior of two parallel fluid-conveying pipes by developing a non-planar dynamical model of the two pipes coupled with an intermediate spring. A systematic analysis is conducted to evaluate the effects of spring parameters on the non-planar vibration characteristics and buckling behaviors of the coupled system. The nonlinear governing equations are derived with Hamilton’s principle, subsequently discretized through Galerkin’s method, and finally numerically solved by the Runge-Kutta algorithm. Based on the linearized equations, an eigenvalue analysis is performed to obtain the coupled frequencies, modal shapes, and critical flow velocities for buckling instability. Quantitative assessments further elucidate the effects of the spring position and stiffness coefficient on the coupled frequencies and critical flow velocities. Nonlinear dynamic analyses reveal the evolution of buckling patterns and bifurcation behaviors between the lateral displacements of the two pipes and the flow velocity. Numerical results indicate that the intermediate spring increases the susceptibility to buckling instability in the out-of-plane direction compared with the in-plane direction. Furthermore, synchronized lateral displacements emerge in both pipes when the flow velocity of one pipe exceeds the critical threshold. This work is expected to provide a theoretical foundation for the stability assessment and vibration analysis in coupled fluid-conveying pipe systems.

Key words: coupled fluid-conveying pipe system, intermediate spring, non-planar vibration, buckling behavior

2010 MSC Number: 

APS Journals | CSTAM Journals | AMS Journals | EMS Journals | ASME Journals