Applied Mathematics and Mechanics (English Edition) ›› 2025, Vol. 46 ›› Issue (11): 2017-2034.doi: https://doi.org/10.1007/s10483-025-3319-6
Jiajia MAO1, Wei GAO1, Chaoran LIU1, Dongxing CAO1, Siukai LAI2,3,†(
)
Received:2025-07-29
Revised:2025-09-24
Published:2025-10-29
Contact:
†Siukai LAI, E-mail: sk.lai@polyu.edu.hkSupported by:2010 MSC Number:
Jiajia MAO, Wei GAO, Chaoran LIU, Dongxing CAO, Siukai LAI. Transition analysis of meta-stable and bi-stable nonlinear behavior in piezoelectric vibration energy harvesting througha pre-shaped curved beam model. Applied Mathematics and Mechanics (English Edition), 2025, 46(11): 2017-2034.
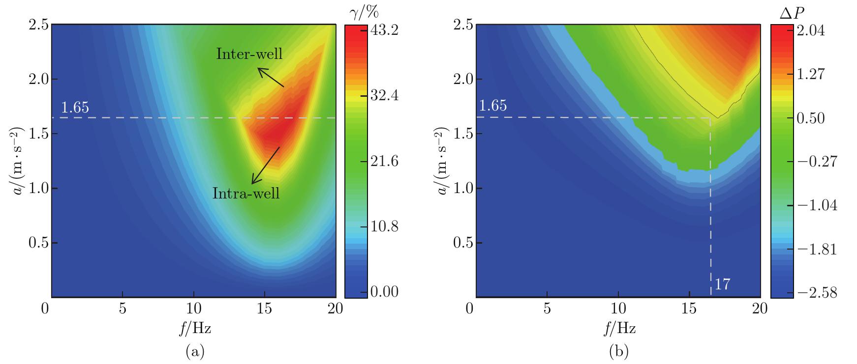
Fig.?11
Effects of the vertical harmonic acceleration excitation with the amplitude a varying from 0 m/s2 to 2.5 m/s2, and the frequency f increasing from 0 Hz to 20 Hz on (a) the efficiency and (b) the energy difference between the input power and the barrier height of the system (color online)"
| [1] | TOPRAK, A. and TIGLI, O. Piezoelectric energy harvesting: state-of-the-art and challenges. Applied Physics Reviews, 1(3), 031104 (2014) |
| [2] | ZOU, H. X., ZHANG, W. M., LI, W. B., WEI, K. X., GAO, Q. H., PENG, Z. K., and MENG, G. Design and experimental investigation of a magnetically coupled vibration energy harvester using two inverted piezoelectric cantilever beams for rotational motion. Energy Conversion and Management, 148, 1391–1398 (2017) |
| [3] | BASARAN, S. Hybrid energy harvesting system under the electromagnetic induced vibrations with non-rigid ground connection. Mechanical Systems and Signal Processing, 163, 108198 (2022) |
| [4] | WANG, J. M., LAI, S., WANG, C., ZHANG, Y. T., and CHEN, Z. L. On the role of sliding friction effect in nonlinear tri-hybrid vibration-based energy harvesting. Applied Mathematics and Mechanics (English Edition), 45(8), 1295–1314 (2024) https://doi.org/10.1007/s10483-024-3133-8 |
| [5] | MITCHESON, P. D., MIAO, P., STARK, B. H., YEATMAN, E. M., HOLMES, A. S., and GREEN, T. C. MEMS electrostatic micropower generator for low frequency operation. Sensors and Actuators A: Physical, 115(2-3), 523–529 (2004) |
| [6] | NGOUABO, U. G., TUWA, P. R. N., NOUBISSIE, S., and WOAFO, P. Nonlinear analysis of electrostatic micro-electro-mechanical systems resonators subject to delayed proportional-derivative controller. Journal of Vibration and Control, 27(1-2), 220–233 (2021) |
| [7] | QIN, Z., YIN, Y. Y., ZHANG, W. Z., LI, C. J., and PAN, K. Wearable and stretchable triboelectric nanogenerator based on crumpled nanofibrous membranes. ACS Applied Materials & Interfaces, 11(13), 12452–12459 (2019) |
| [8] | WANG, T. Y., WANG, C., ZENG, Q. X., GU, G. Q., WANG, X., CHENG, G., and DU, Z. L. A real-time, self-powered wireless pressure sensing system with efficient coupling energy harvester, sensing, and communication modules. Nano Energy, 125, 109533 (2024) |
| [9] | LIN, Z. Q., HONG, J. L., HUANG, C. Z., ZHANG, X. Y., SHEN, S. T., DU, Z. H., ZHOU, P. P., MIAO, Y. B., LIN, Z. H., LYU, X. L., and ZOU, Z. G. A strong, tough, and high-efficiency hydrogel thermocell for thermal energy harvesting. Nano Energy, 138, 110878 (2025) |
| [10] | HUSSAIN, Z., LEE, M., and CHO, H. Thermophysical advancements and stability dynamics in nanofluids for solar energy harvesting: a comprehensive review. Renewable Energy, 248, 123052 (2025) |
| [11] | AL MAHADI HASAN, M., ZHU, W. X., BOWEN, C. R., WANG, Z. L., and YANG, Y. Triboelectric nanogenerators for wind energy harvesting. Nature Reviews Electrical Engineering, 1(7), 453–465 (2024) |
| [12] | ALI, N. U. H. L., PAZHAMALAI, P., SATHYASEELAN, A., DONGALE, T. D., and KIM, S. J. A self-integration via dual-active mode structural-SC-TENG energy device for electrochemical energy storage and triboelectric energy harvesting. Applied Energy, 376, 124265 (2024) |
| [13] | YU, T. C., LIANG, F., and YANG, H. L. Vibration energy harvesting of a three-directional functionally graded pipe conveying fluids. Applied Mathematics and Mechanics (English Edition), 46(5), 795–812 (2025) https://doi.org/10.1007/s10483-025-3249-8 |
| [14] | CAO, D. X., WANG, J. R., GUO, X. Y., LAI, S. K., and SHEN, Y. J. Recent advancement of flow-induced piezoelectric vibration energy harvesting techniques: principles, structures, and nonlinear designs. Applied Mathematics and Mechanics (English Edition), 43(7), 959–978 (2022) https://doi.org/10.1007/s10483-022-2867-7 |
| [15] | ZHANG, B., LIU, H. S., ZHOU, S. X., and GAO, J. A review of nonlinear piezoelectric energy harvesting interface circuits in discrete components. Applied Mathematics and Mechanics (English Edition), 43(7), 1001–1026 (2022) https://doi.org/10.1007/s10483-022-2863-6 |
| [16] | LEÓN ÁVILA, B. Y., GARCÍA VÁZQUEZ, C. A., PÉREZ BALUJA, O., COTFAS, D. T., and COTFAS, P. A. Energy harvesting techniques for wireless sensor networks: a systematic literature review. Energy Strategy Reviews, 57, 101617 (2025) |
| [17] | YANG, Z. B., ZHOU, S. X., ZU, J., and INMAN, D. High-performance piezoelectric energy harvesters and their applications. Joule, 2(4), 642–697 (2018) |
| [18] | AHMAD, M. M. and KHAN, F. U. Review of vibration-based electromagnetic-piezoelectric hybrid energy harvesters. International Journal of Energy Research, 45(4), 5058–5097 (2021) |
| [19] | HUANG, X. B., and YANG, B. T. Towards novel energy shunt inspired vibration suppression techniques: principles, designs and applications. Mechanical Systems and Signal Processing, 182, 109496 (2023) |
| [20] | LIU, C. R., WANG, J. F., ZHANG, W., YANG, X. D., GUO, X. Y., LIU, T., and SU, X. Y. Synchronization of broadband energy harvesting and vibration mitigation via 1:2 internal resonance. International Journal of Mechanical Sciences, 301, 110503 (2025) |
| [21] | WANG, J. L., GENG, L. F., DING, L., ZHU, H. J., and YURCHENKO, D. The state-of-the-art review on energy harvesting from flow-induced vibrations. Applied Energy, 267, 114902 (2020) |
| [22] | YANG, T., ZHOU, S. X., FANG, S. T., QIN, W. Y., and INMAN, D. J. Nonlinear vibration energy harvesting and vibration suppression technologies: designs, analysis, and applications. Applied Physics Reviews, 8(3), 031317 (2021) |
| [23] | WEI, C. F. and JING, X. J. A comprehensive review on vibration energy harvesting: modelling and realization. Renewable and Sustainable Energy Reviews, 74, 1–18 (2017) |
| [24] | ERTURK, A. and INMAN, D. J. On mechanical modeling of cantilevered piezoelectric vibration energy harvesters. Journal of Intelligent Material Systems and Structures, 19(11), 1311–1325 (2008) |
| [25] | RAMLAN, R., BRENNAN, M. J., MACE, B. R., and KOVACIC, I. Potential benefits of a non-linear stiffness in an energy harvesting device. Nonlinear Dynamics, 59(4), 545–558 (2010) |
| [26] | NORENBERG, J. P., LUO, R., LOPES, V. G., PETERSON, J. V. L. L., and CUNHA, A. JR. Nonlinear dynamics of asymmetric bistable energy harvesters. International Journal of Mechanical Sciences, 257, 108542 (2023) |
| [27] | HUANG, X. B. and YANG, B. T. Improving energy harvesting from impulsive excitations by a nonlinear tunable bistable energy harvester. Mechanical Systems and Signal Processing, 158, 107797 (2021) |
| [28] | HUANG, X. B. Exploiting multi-stiffness combination inspired absorbers for simultaneous energy harvesting and vibration mitigation. Applied Energy, 364, 123124 (2024) |
| [29] | HUANG, X. B., WANG, B., HUANG, Z. W., HUA, X. G., and CHEN, Z. Q. A theoretical model for a low-frequency two-stage hybrid vibration isolator with a nonlinear energy sink and a negative stiffness spring. Applied Mathematical Modelling, 142, 115948 (2025) |
| [30] | HUANG, X. B., HUA, X. G., and CHEN, Z. Q. Exploiting a novel magnetoelastic tunable bi-stable energy converter for vibration energy mitigation. Nonlinear Dynamics, 113(3), 2017–2043 (2025) |
| [31] | WANG, C., LAI, S. K., WANG, J. M., FENG, J. J., and NI, Y. Q. An ultra-low-frequency, broadband and multi-stable tri-hybrid energy harvester for enabling the next-generation sustainable power. Applied Energy, 291, 116825 (2021) |
| [32] | ZHOU, Z. Y., HUANG, H. B., CAO, D., QIN, W. Y., ZHU, P., and DU, W. F. Harvest more bridge vibration energy by nonlinear multi-stable piezomagnetoelastic harvester. Journal of Physics D: Applied Physics, 57(13), 135501 (2024) |
| [33] | HUANG, X. B. and YANG, B. T. Investigation on the energy trapping and conversion performances of a multi-stable vibration absorber. Mechanical Systems and Signal Processing, 160, 107938 (2021) |
| [34] | ZHANG, X., HUANG, X. B., and WANG, B. A quad-stable nonlinear piezoelectric energy harvester with piecewise stiffness for broadband energy harvesting. Nonlinear Dynamics, 112(22), 19633–19652 (2024) |
| [35] | LU, Z. Q., SHAO, D., FANG, Z. W., DING, H., and CHEN, L. Q. Integrated vibration isolation and energy harvesting via a bistable piezo-composite plate. Journal of Vibration and Control, 26(9-10), 779–789 (2020) |
| [36] | LAI, S. K., WANG, C., and ZHANG, L. H. A nonlinear multi-stable piezomagnetoelastic harvester array for low-intensity, low-frequency, and broadband vibrations. Mechanical Systems and Signal Processing, 122, 87–102 (2019) |
| [37] | HUANG, W. C., MA, C., and QIN, L. H. Snap-through behaviors of a pre-deformed ribbon under midpoint loadings. International Journal of Solids and Structures, 232, 111184 (2021) |
| [38] | MAO, J. J., WEI, Z. G., and KE, L. L. Gravity-guided snapping sequence in 3D modular multistable metamaterials. International Journal of Mechanical Sciences, 285, (2025) |
| [39] | MAO, J. J., CHENG, H., and MA, T. X. Elastic wave insulation and propagation control based on the programmable curved-beam periodic structure. Applied Mathematics and Mechanics (English Edition), 45(10), 1791–1806 (2024) https://doi.org/10.1007/s10483-024-3164-9 |
| [40] | LIU, M. C., GOMEZ, M., and VELLA, D. Delayed bifurcation in elastic snap-through instabilities. Journal of the Mechanics and Physics of Solids, 151, 104386 (2021) |
| [41] | LIU, M. C., DOMINO, L., DE DINECHIN, I. D, TAFFETANI, M., and VELLA, D. Snap-induced morphing: from a single bistable shell to the origin of shape bifurcation in interacting shells. Journal of the Mechanics and Physics of Solids, 170, 105116 (2023) |
| [42] | LIANG, H. T., HAO, G. B., and OLSZEWSKI, O. Z. A review on vibration-based piezoelectric energy harvesting from the aspect of compliant mechanisms. Sensors and Actuators A: Physical, 331, 112743 (2021) |
| [43] | ANDO, B. How can energy be scavenged from wideband vibrations? IEEE Instrumentation & Measurement Magazine, 18(1), 40–44 (2015) |
| [44] | BAI, Q., GAN, C. Z., ZHOU, T., DU, Z. C., WANG, J. H., WANG, Q., WEI, K. X., and ZOU, H. X. A triboelectric-piezoelectric-electromagnetic hybrid wind energy harvester based on a snap-through bistable mechanism. Energy Conversion and Management, 306, 118323 (2024) |
| [45] | LIU, Q., QIN, W. Y., YANG, Y. F., and ZHOU, Z. Y. Promote performance of vibration energy harvesting by amplified inertial force and clamped piezoelectric beams. Mechanical Systems and Signal Processing, 178, 109291 (2022) |
| [46] | CAO, Y. T., DERAKHSHANI, M., FANG, Y. H., HUANG, G. L., and CAO, C. Y. Bistable structures for advanced functional systems. Advanced Functional Materials, 31(45), 2106231 (2021) |
| [47] | DERAKHSHANI, M., MOMENZADEH, N., and BERFIELD, T. A. Analytical and experimental study of a clamped-clamped, bistable buckled beam low-frequency PVDF vibration energy harvester. Journal of Sound and Vibration, 497, 115937 (2021) |
| [48] | WU, N., HE, Y. C., and FU, J. Y. Bistable energy harvester using easy snap-through performance to increase output power. Energy, 226, 120414 (2021) |
| [49] | XIE, Z. Q., KWUIMY, C. A. K., WANG, Z. G., and HUANG, W. B. A piezoelectric energy harvester for broadband rotational excitation using buckled beam. AIP Advances, 8, 015125 (2018) |
| [50] | COTTONE, F., GAMMAITONI, L., VOCCA, H., FERRARI, M., and FERRARI, V. Piezoelectric buckled beams for random vibration energy harvesting. Smart Materials and Structures, 21(3), 035021 (2012) |
| [51] | LIU, W. Q., YUAN, Z. X., ZHANG, S., and ZHU, Q. Enhanced broadband generator of dual buckled beams with simultaneous translational and torsional coupling. Applied Energy, 251, 113412 (2019) |
| [52] | DERAKHSHANI, M., BERFIELD, T. A., and MURPHY, K. D. A component coupling approach to dynamic analysis of a buckled, bistable vibration energy harvester structure. Nonlinear Dynamics, 96(2), 1429–1446 (2019) |
| [53] | MASANA, R. and DAQAQ, M. F. Relative performance of a vibratory energy harvester in mono-and bi-stable potentials. Journal of Sound and Vibration, 330(24), 6036–6052 (2011) |
| [54] | COTTONE, F., GAMMAITONI, L., VOCCA, H., FERRARI, M., and FERRARI, V. Piezoelectric buckled beams for random vibration energy harvesting. Smart Materials and Structures, 21(3), 035021 (2012) |
| [55] | ZHU, Y., ZU, J., and SU, W. Broadband energy harvesting through a piezoelectric beam subjected to dynamic compressive loading. Smart Materials and Structures, 22(4), 045007 (2013) |
| [56] | QIAN, F., ZHOU, S. X., and ZUO, L. Approximate solutions and their stability of a broadband piezoelectric energy harvester with a tunable potential function. Communications in Nonlinear Science and Numerical Simulation, 80, 104984 (2020) |
| [57] | LIU, C. R., ZHAO, R., YU, K. P., LEE, H. P., and LIAO, B. P. A quasi-zero-stiffness device capable of vibration isolation and energy harvesting using piezoelectric buckled beams. Energy, 233, 121146 (2021) |
| [58] | WANG, X., DU, Q. Z., ZHANG, Y., LI, F., WANG, T., FU, G. Q., and LU, C. J. Dynamic characteristics of axial load bi-stable energy harvester with piezoelectric polyvinylidene fluoride film. Mechanical Systems and Signal Processing, 188, 110065 (2023) |
| [59] | FANG, S. T., ZHOU, S. X., YURCHENKO, D., YANG, T., and LIAO, W. H. Multistability phenomenon in signal processing, energy harvesting, composite structures, and metamaterials: a review. Mechanical Systems and Signal Processing, 166, 108419 (2022) |
| [60] | QIU, J., LANG, J. H., and SLOCUM, A. H. A curved-beam bistable mechanism. Journal of Microelectromechanical Systems, 13(2), 137–146 (2004) |
| [61] | LIU, C. R., ZHAO, R., YU, K. P., LEE, H. P., and LIAO, B. P. Simultaneous energy harvesting and vibration isolation via quasi-zero-stiffness support and radially distributed piezoelectric cantilever beams. Applied Mathematical Modelling, 100, 152–169 (2021) |
| [62] | DAVIS, R. B. and MCDOWELL, M. D. Combined Euler column vibration isolation and energy harvesting. Smart Materials and Structures, 26(5), 055001 (2017) |
| [63] | LIU, C. R., LIAO, B. P., ZHAO, R., YU, K. P., LEE, H. P., and ZHAO, J. Large stroke tri-stable vibration energy harvester: modelling and experimental validation. Mechanical Systems and Signal Processing, 168, 108699 (2022) |
| [1] | A. KESHMIRI, T. H. MOTTAGHI, A. R. MASOODI. A finite element-based novel approach to undamped vibrational analysis of complex curved beams with arbitrary curvature using explicit interpolation functions [J]. Applied Mathematics and Mechanics (English Edition), 2025, 46(11): 2177-2198. |
| [2] | Qiaoyun ZHANG, Xiaoyan ZHANG, Jiahao XU, Zhicai SONG, Minghao ZHAO. Vibration characteristic analysis of a cracked piezoelectric semiconductor curved beam [J]. Applied Mathematics and Mechanics (English Edition), 2025, 46(10): 1967-1982. |
| [3] | R. A. JAFARI-TALOOKOLAEI, H. GHANDVAR, E. JUMAEV, S. KHATIR, T. CUONG-LE. Free vibration and transient response of double curved beams connected by intermediate straight beams [J]. Applied Mathematics and Mechanics (English Edition), 2025, 46(1): 37-62. |
| [4] | Lele REN, Wei ZHANG, Ting DONG, Yufei ZHANG. Snap-through behaviors and nonlinear vibrations of a bistable composite laminated cantilever shell: an experimental and numerical study [J]. Applied Mathematics and Mechanics (English Edition), 2024, 45(5): 779-794. |
| [5] | Guangdong SUI, Shuai HOU, Xiaofan ZHANG, Xiaobiao SHAN, Chengwei HOU, Henan SONG, Weijie HOU, Jianming LI. A bio-inspired spider-like structure isolator for low-frequency vibration [J]. Applied Mathematics and Mechanics (English Edition), 2023, 44(8): 1263-1286. |
| [6] | Pei ZHANG, Hai QING. On well-posedness of two-phase nonlocal integral models for higher-order refined shear deformation beams [J]. Applied Mathematics and Mechanics (English Edition), 2021, 42(7): 931-950. |
| [7] | Zhiwei ZHOU, Meixia CHEN, Kun XIE. Non-uniform rational B-spline based free vibration analysis of axially functionally graded tapered Timoshenko curved beams [J]. Applied Mathematics and Mechanics (English Edition), 2020, 41(4): 567-586. |
| [8] | Hua LIU, Yi HAN, Jialing YANG. Large deflection of curved elastic beams made of Ludwick type material [J]. Applied Mathematics and Mechanics (English Edition), 2017, 38(7): 909-920. |
| [9] | ZHU Li-li;ZHAO Ying-hua. Exact solution for warping of spatial curved beams in natural coordinates [J]. Applied Mathematics and Mechanics (English Edition), 2008, 29(7): 933-941 . |
| [10] | LI Jiang-teng;CAO Ping. CUSP CATASTROPHE MODEL OF INSTABILITY OF PILLAR IN ASYMMETRIC MINING [J]. Applied Mathematics and Mechanics (English Edition), 2005, 26(8): 1100-1106 . |
| [11] | SHENG Dong-fa;CHENG Chang-jun;FU Ming-fu. GENERALIZED VARIATIONAL PRINCIPLES OF THE VISCOELASTIC BODY WITH VOIDS AND THEIR APPLICATIONS [J]. Applied Mathematics and Mechanics (English Edition), 2004, 25(4): 381-389. |
| [12] | YU Ai-min;YI Ming . SOLUTION OF GENERALIZED COORDINATE FOR WARPING FOR NATURALLY CURVED AND TWISTED BEAMS [J]. Applied Mathematics and Mechanics (English Edition), 2004, 25(10): 1166-1175. |
| [13] | CHENG Chang-jun;REN Jiu-sheng . TRANSVERSELY ISOTROPIC HYPER-ELASTIC MATERIAL RECTANGULAR PLATE WITH VOIDS UNDER A UNIAXIAL EXTENSION [J]. Applied Mathematics and Mechanics (English Edition), 2003, 24(7): 763-773. |
| [14] | LI Zheng-liang;BAI Shao-liang;XIE Wei . NEW HIGH-ORDER MULTI-JOINT FINITE ELEMENT FOR THIN-WALLED BAR [J]. Applied Mathematics and Mechanics (English Edition), 2002, 23(4): 435-445. |
| [15] | Ma Zheng;Zhou Zhewei. THE ENERGY CRITERION OF MINIMUM EQUIVALENT DIAMETER IN GAS ATOMIZATION [J]. Applied Mathematics and Mechanics (English Edition), 1999, 20(8): 825-829. |
| Viewed | ||||||
|
Full text |
|
|||||
|
Abstract |
|
|||||

Email Alert
RSS