Applied Mathematics and Mechanics (English Edition) ›› 2025, Vol. 46 ›› Issue (11): 2177-2198.doi: https://doi.org/10.1007/s10483-025-3315-6
Previous Articles Next Articles
A. KESHMIRI, T. H. MOTTAGHI, A. R. MASOODI†(
)
Received:2025-07-07
Revised:2025-09-15
Published:2025-10-29
Contact:
†A. R. MASOODI, E-mail: ar.masoodi@um.ac.ir2010 MSC Number:
A. KESHMIRI, T. H. MOTTAGHI, A. R. MASOODI. A finite element-based novel approach to undamped vibrational analysis of complex curved beams with arbitrary curvature using explicit interpolation functions. Applied Mathematics and Mechanics (English Edition), 2025, 46(11): 2177-2198.
Table?1
Comparison of the results obtained from the proposed method with the exact solutions derived from Castigliano’s method"
| Present study | Explicit answer | Error | Error | |||
|---|---|---|---|---|---|---|
| 2 | 13.706 | -10.497 | 17.387 | 8.35 | 21.20 | |
| 4 | 16.475 | -10.497 | 17.387 | 4.30 | 5.25 | |
| 6 | 16.976 | -10.497 | 17.387 | 1.42 | 2.36 | |
| 8 | 17.153 | -10.497 | 17.387 | 0.49 | 1.35 | |
| 10 | 17.235 | -10.497 | 17.387 | 0.13 | 0.87 | |
| 12 | 17.281 | -10.497 | 17.387 | 0.01 | 0.61 | |
Table?2
First four dimensionless natural frequencies obtained in this study compared with the results from previous studies"
| Support condition | Mode | Present study | Ref. [ | Ref. [ | Ref. [ | Error/% |
|---|---|---|---|---|---|---|
| S-S | 1 | 29.192 | 29.285 | 29.306 | 29.264 | 0.317 6 |
| 2 | 33.255 | 33.321 | 33.243 | 33.280 | 0.079 1 | |
| 3 | 66.721 | 67.202 | 67.123 | 66.935 | 0.545 1 | |
| 4 | 79.796 | 80.049 | 79.950 | 79.817 | 0.178 5 | |
| C-C | 1 | 36.694 | 36.716 | 36.657 | 36.674 | 0.031 8 |
| 2 | 42.250 | 42.278 | 42.289 | 42.228 | 0.035 5 | |
| 3 | 82.160 | 82.361 | 82.228 | 81.930 | 0.015 8 | |
| 4 | 84.452 | 84.565 | 84.471 | 84.328 | 0.003 2 |
Table?3
First four modes of free vibration for these beams compared with the results presented in the study by Yang et al.[41]"
| Geometry of arch | Mode | Present study | Ref. [ | Error/% |
|---|---|---|---|---|
| Elliptic | 1 | 34.860 | 34.892 | 0.091 7 |
| 2 | 56.727 | 56.766 | 0.068 7 | |
| 3 | 81.265 | 81.420 | 0.190 4 | |
| 4 | 123.91 | 124.29 | 0.305 7 | |
| Sinusoid | 1 | 56.064 | 56.083 | 0.033 9 |
| 2 | 66.035 | 66.047 | 0.018 2 | |
| 3 | 113.32 | 113.41 | 0.079 4 | |
| 4 | 179.03 | 179.26 | 0.128 3 |
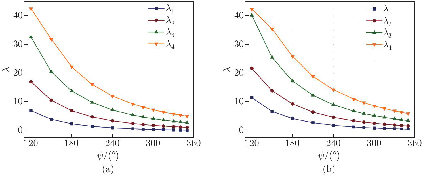
Table?4
First four dimensionless natural frequencies of the circular beam under S-S and C-C support conditions"
| S-S | C-C | |||||||
|---|---|---|---|---|---|---|---|---|
| 120 | 6.857 | 16.95 | 32.52 | 42.42 | 11.57 | 21.81 | 40.24 | 42.42 |
| 150 | 3.833 | 10.44 | 20.40 | 31.78 | 6.851 | 13.98 | 25.56 | 35.53 |
| 180 | 2.256 | 6.845 | 13.73 | 22.11 | 4.337 | 9.416 | 17.38 | 25.94 |
| 210 | 1.359 | 4.680 | 9.698 | 15.98 | 2.874 | 6.612 | 12.40 | 19.04 |
| 240 | 0.816 | 3.290 | 7.086 | 11.94 | 1.971 | 4.790 | 9.157 | 14.37 |
| 270 | 0.473 | 2.355 | 5.307 | 9.152 | 1.389 | 3.551 | 6.944 | 11.10 |
| 285 | 0.350 | 2.001 | 4.625 | 8.075 | 1.177 | 3.079 | 6.094 | 9.838 |
| 300 | 0.250 | 1.704 | 4.046 | 7.156 | 1.003 | 2.680 | 5.372 | 8.755 |
| 315 | 0.168 | 1.452 | 3.551 | 6.365 | 0.860 | 2.341 | 4.754 | 7.822 |
| 330 | 0.101 | 1.238 | 3.125 | 5.681 | 0.742 | 2.051 | 4.222 | 7.013 |
| 340 | 0.063 | 1.113 | 2.874 | 5.276 | 0.676 | 1.881 | 3.907 | 6.533 |
| 350 | 0.030 | 1.000 | 2.645 | 4.905 | 0.617 | 1.727 | 3.620 | 6.094 |
| [1] | ZHOU, Z. W., CHEN, M. X., and XIE, K. Non-uniform rational B-spline based free vibration analysis of axially functionally graded tapered Timoshenko curved beams. Applied Mathematics and Mechanics (English Edition), 41(4), 567–586 (2020) https://doi.org/10.1007/s10483-020-2594-7 |
| [2] | KIKUCHI, F. On the validity of the finite element analysis of circular arches represented by an assemblage of beam elements. Computer Methods in Applied Mechanics and Engineering, 5(3), 253–276 (1975) |
| [3] | SENGUPTA, D. and DASGUPTA, S. Static and dynamic applications of a five noded horizontally curved beam element with shear deformation. International Journal for Numerical Methods in Engineering, 40(10), 1801–1819 (1997) |
| [4] | KIM, N. I. and JEON, C. K. Improved thin-walled finite curved beam elements. Advances in Mechanical Engineering, 5, 429658 (2013) |
| [5] | LITEWKA, P. and RAKOWSKI, J. An efficient curved beam finite element. International Journal for Numerical Methods in Engineering, 40(14), 2629–2652 (1997) |
| [6] | ECSEDI, I. and LENGYEL, Á. J. An analytical solution for static problems of curved composite beams. Curved and Layered Structures, 6(1), 105–116 (2019) |
| [7] | SHAHVEISI, N. and FELI, S. Dynamic and electrical responses of a curved sandwich beam with glass reinforced laminate layers and a pliable core in the presence of a piezoelectric layer under low-velocity impact. Applied Mathematics and Mechanics (English Edition), 45(1), 155–178 (2024) https://doi.org/10.1007/s10483-024-3074-6 |
| [8] | FAN, J. M., PU, Z. B., YANG, J., CHANG, X. P., and LI, Y. H. Orthogonality conditions and analytical response solutions of damped gyroscopic double-beam system: an example of pipe-in-pipe system. Applied Mathematics and Mechanics (English Edition), 46(5), 927–946 (2025) https://doi.org/10.1007/s10483-025-3247-6 |
| [9] | ARIBAS, U. N., AYDIN, M., ATALAY, M., and OMURTAG, M. H. Cross-sectional warping and precision of the first-order shear deformation theory for vibrations of transversely functionally graded curved beams. Applied Mathematics and Mechanics (English Edition), 44(12), 2109–2138 (2023) https://doi.org/10.1007/s10483-023-3065-6 |
| [10] | KIM, N. I., YUN, H. T., and KIM, M. Y. Exact static element stiffness matrices of non-symmetric thin-walled curved beams. International Journal for Numerical Methods in Engineering, 61(2), 274–302 (2004) |
| [11] | WANG, Y. Q. Improved strategy of two-node curved beam element based on the same beam’s nodes information. Advances in Materials Science and Engineering, 2021, 2093096 (2021) |
| [12] | YANG, Y. B., KUO, S. R., and CHERNG, Y. D. Curved beam elements for nonlinear analysis. Journal of Engineering Mechanics, 115(4), 840–855 (1989) |
| [13] | WANG, T. M. and MERRILL, T. F. Stiffness coefficients of noncircular curved beams. Journal of Structural Engineering, 114(7), 1689–1699 (1988) |
| [14] | SHAH, V. N. and MARSHALL, N. H. Curved beam elements to model noncircular coil shapes for tokamak reactor. International Journal for Numerical Methods in Engineering, 21(10), 1853–1870 (1985) |
| [15] | BANAN, M. R., KARAMI, G., and FARSHAD, M. Finite element analysis of curved beams on elastic foundations. Computers & Structures, 32(1), 45–53 (1989) |
| [16] | CHOI, J. K. and LIM, J. K. Simple curved shear beam elements. Communications in Numerical Methods in Engineering, 9(8), 659–669 (1993) |
| [17] | KIM, J. G. and KIM, Y. Y. A new higher-order hybrid-mixed curved beam element. International Journal for Numerical Methods in Engineering, 43(5), 925–940 (1998) |
| [18] | KOSMATKA, J. and FRIEDMAN, Z. An accurate two-node shear-deformable curved beam element. 39th AIAA/ASME/ASCE/AHS/ASC Structures, Structural Dynamics, and Materials Conference and Exhibit, AIAA, Long Beach (1998) |
| [19] | REZAIEE-PAJAND, M. and RAJABZADEH-SAFAEI, N. Static and dynamic analysis of circular beams using explicit stiffness matrix. Structural Engineering and Mechanics, 60(1), 111–130 (2016) |
| [20] | SHEIKH, A. H. New concept to include shear deformation in a curved beam element. Journal of Structural Engineering, 128(3), 406–410 (2002) |
| [21] | TARN, J. Q. and TSENG, W. D. Exact analysis of curved beams and arches with arbitrary end conditions: a Hamiltonian state space approach. Journal of Elasticity, 107(1), 39–63 (2012) |
| [22] | YANG, Z. B., CHEN, X. F., HE, Y. M., HE, Z. J., and ZHANG, J. The analysis of curved beam using B-spline wavelet on interval finite element method. Shock and Vibration, 2014, 738162 (2014) |
| [23] | MATHIYAZHAGAN, G. and VASIRAJA, N. Finite element analysis on curved beams of various sections. 2013 International Conference on Energy Efficient Technologies for Sustainability, IEEE, Nagercoil (2013) |
| [24] | TUFEKCI, E., EROGLU, U., and AYA, S. A. A new two-noded curved beam finite element formulation based on exact solution. Engineering with Computers, 33(2), 261–273 (2017) |
| [25] | GHUKU, S. and SAHA, K. N. A review on stress and deformation analysis of curved beams under large deflection. International Journal of Engineering and Technologies, 11, 13–39 (2017) |
| [26] | SAYYAD, A. S. and GHUGAL, Y. M. A sinusoidal beam theory for functionally graded sandwich curved beams. Composite Structures, 226, 111246 (2019) |
| [27] | BELARBI, M. O., HOUARI, M. S. A., HIRANE, H., DAIKH, A. A., and BORDAS, S. P. A. On the finite element analysis of functionally graded sandwich curved beams via a new refined higher order shear deformation theory. Composite Structures, 279, 114715 (2022) |
| [28] | SAVINO, P. and TONDOLO, F. Two-node curved inverse finite element formulations based on exact strain-displacement solution. Journal of Applied and Computational Mechanics, 9(1), 259–273 (2023) |
| [29] | PETYT, M. and FLEISCHER, C. C. Free vibration of a curved beam. Journal of Sound and Vibration, 18(1), 17–30 (1971) |
| [30] | YANG, F., SEDAGHATI, R., and ESMAILZADEH, E. Free in-plane vibration of curved beam structures: a tutorial and the state of the art. Journal of Vibration and Control, 24(12), 2400–2417 (2018) |
| [31] | CHANG, C. S. and HODGES, D. Vibration characteristics of curved beams. Journal of Mechanics of Materials and Structures, 4(4), 675–692 (2009) |
| [32] | ZHU, C. S., FANG, X. Q., and LIU, J. X. Nonlinear free vibration of piezoelectric semiconductor doubly-curved shells based on nonlinear drift-diffusion model. Applied Mathematics and Mechanics (English Edition), 44(10), 1761–1776 (2023) https://doi.org/10.1007/s10483-023-3039-7 |
| [33] | MAO, J. J., CHENG, H., and MA, T. X. Elastic wave insulation and propagation control based on the programmable curved-beam periodic structure. Applied Mathematics and Mechanics (English Edition), 45(10), 1791–1806 (2024) https://doi.org/10.1007/s10483-024-3164-9 |
| [34] | JAFARI-TALOOKOLAEI, R. A., GHANDVAR, H., JUMAEV, E., KHATIR, S., and CUONG-LE, T. Free vibration and transient response of double curved beams connected by intermediate straight beams. Applied Mathematics and Mechanics (English Edition), 46(1), 37–62 (2025) https://doi.org/10.1007/s10483-025-3197-8 |
| [35] | HAJIANMALEKI, M. and QATU, M. S. Static and vibration analyses of thick, generally laminated deep curved beams with different boundary conditions. Composites Part B: Engineering, 43(4), 1767–1775 (2012) |
| [36] | MOTTAGHI, T. H., GHANDEHARI, M. A., and MASOODI, A. R. Dynamic behavior of carbon nanotube-reinforced polymer composite ring-like structures: unraveling the effects of agglomeration, porosity, and elastic coupling. Polymers, 17(5), 696 (2025) |
| [37] | CHIDAMPARAM, P. and LEISSA, A. W. Vibrations of planar curved beams, rings, and arches. Applied Mechanics Reviews, 46(9), 467–483 (1993) |
| [38] | GIMENA, F. N., GONZAGA, P., and GIMENA, L. 3D-curved beam element with varying cross-sectional area under generalized loads. Engineering Structures, 30(2), 404–411 (2008) |
| [39] | PROVASI, R. and MARTINS, C. D. A three-dimensional curved beam element for helical components modeling. Journal of Offshore Mechanics and Arctic Engineering, 136(4), 041601 (2014) |
| [40] | WEEGER, O., NARAYANAN, B., and DUNN, M. L. Isogeometric shape optimization of nonlinear, curved 3D beams and beam structures. Computer Methods in Applied Mechanics and Engineering, 345, 26–51 (2019) |
| [41] | YANG, F., SEDAGHATI, R., and ESMAILZADEH, E. Free in-plane vibration of general curved beams using finite element method. Journal of Sound and Vibration, 318(4-5), 850–867 (2008) |
| [42] | HUANG, C. S., TSENG, Y. P., and CHANG, S. H. Out-of-plane dynamic responses of non-circular curved beams by numerical Laplace transform. Journal of Sound and Vibration, 215(3), 407–424 (1998) |
| [43] | LIN, K. C. and HSIEH, C. M. The closed form general solutions of 2-D curved laminated beams of variable curvatures. Composite Structures, 79(4), 606–618 (2007) |
| [44] | LI, S. H. and REN, J. Y. Analytical study on dynamic responses of a curved beam subjected to three-directional moving loads. Applied Mathematical Modelling, 58, 365–387 (2018) |
| [45] | AUSTIN, W. J. and VELETSOS, A. S. Free vibration of arches flexible in shear. Journal of the Engineering Mechanics Division, 99(4), 735–753 (1973) |
| [46] | EISENBERGER, M. and EFRAIM, E. In-plane vibrations of shear deformable curved beams. International Journal for Numerical Methods in Engineering, 52(11), 1221–1234 (2001) |
| [47] | WU, J. S. and CHIANG, L. K. Free vibration analysis of arches using curved beam elements. International Journal for Numerical Methods in Engineering, 58(13), 1907–1936 (2003) |
| [48] | CIVALEK, Ö. and KIRACIOGLU, O. Free vibration analysis of Timoshenko beams by DSC method. International Journal for Numerical Methods in Biomedical Engineering, 26(12), 1890–1898 (2010) |
| [49] | SU, J. P., ZHOU, K., QU, Y. G., and HUA, H. X. A variational formulation for vibration analysis of curved beams with arbitrary eccentric concentrated elements. Archive of Applied Mechanics, 88(7), 1089–1104 (2018) |
| [50] | CORRÊA, R. M., ARNDT, M., and MACHADO, R. D. Free in-plane vibration analysis of curved beams by the generalized/extended finite element method. European Journal of Mechanics-A, 88, 104244 (2021) |
| [51] | KARAMANLI, A., WATTANASAKULPONG, N., LEZGY-NAZARGAH, M., and VO, T. P. Bending, buckling and free vibration behaviours of 2D functionally graded curved beams. Structures, 55, 778–798 (2023) |
| [52] | YE, S. Q., MAO, X. Y., DING, H., JI, J. C., and CHEN, L. Q. Nonlinear vibrations of a slightly curved beam with nonlinear boundary conditions. International Journal of Mechanical Sciences, 168, 105294 (2020) |
| [53] | SAYYAD, A. S. and AVHAD, P. V. A new higher order shear and normal deformation theory for the free vibration analysis of sandwich curved beams. Composite Structures, 280, 114948 (2022) |
| [54] | CAI, Y., LI, X., FAN, X., LV, X., and CHEN, H. The vibration response of five beam theories under eccentric moving harmonic loads. Mechanics Based Design of Structures and Machines, 53(4), 2606–2627 (2024) |
| [55] | ZHOU, H., LING, M. X., YIN, Y. H., and WU, S. L. Transfer matrix modeling for asymmetrically-nonuniform curved beams by beam-discrete strategies. International Journal of Mechanical Sciences, 276, 109425 (2024) |
| [56] | WU, S. L., ZHU, J., WEI, H. X., ZHANG, Y. T., and LING, M. X. Vibration analysis of nonuniform and curved-axis flexure hinges/beams by a recursive dynamic compliance matrix. Thin-Walled Structures, 215, 113495 (2025) |
| [57] | MOTTAGHI, T. H., MASOODI, A. R., and GANDOMI, A. H. Multiscale analysis of carbon nanotube-reinforced curved beams: a finite element approach coupled with multilayer perceptron neural network. Results in Engineering, 23, 102585 (2024) |
| [1] | M. USMAN, M. HAMID, W. A. KHAN, R. U. HAQ. Hydrodynamical characterization of nanofluidic flow driven by forced convection via a four-sided lid-driven cavity [J]. Applied Mathematics and Mechanics (English Edition), 2025, 46(7): 1383-1402. |
| [2] | Lele ZHANG, Zheng ZHAO, Xiaofan HU, Guoquan NIE, Jinxi LIU. Exact multi-field coupling modeling and analysis of piezoelectric semiconductor plates [J]. Applied Mathematics and Mechanics (English Edition), 2025, 46(7): 1331-1346. |
| [3] | Zhiwen FAN, Hai QING. Size-dependent bending and vibration analysis of piezoelectric nanobeam based on fractional-order kinematic relations [J]. Applied Mathematics and Mechanics (English Edition), 2025, 46(7): 1261-1272. |
| [4] | Yansong LI, Wenjie FENG, Lei WEN. Free vibration of piezoelectric semiconductor composite structure with fractional viscoelastic layer [J]. Applied Mathematics and Mechanics (English Edition), 2025, 46(4): 683-698. |
| [5] | Jufang JIA, Huilin YIN, Qinyu YU, Jiabin SUN, Xinsheng XU, Zhenhuan ZHOU. New analytical solutions for free vibration of embedded magneto-electro-elastic cylindrical shells with step-wise thickness variations [J]. Applied Mathematics and Mechanics (English Edition), 2025, 46(3): 447-466. |
| [6] | Chang LI, Rongjun CHEN, Cheng LI, Hai QING. Two-phase nonlocal integral model with bi-Helmholtz kernel for free vibration analysis of multi-walled carbon nanotubes considering size-dependent van der Waals forces [J]. Applied Mathematics and Mechanics (English Edition), 2025, 46(11): 2095-2114. |
| [7] | Jiajia MAO, Wei GAO, Chaoran LIU, Dongxing CAO, Siukai LAI. Transition analysis of meta-stable and bi-stable nonlinear behavior in piezoelectric vibration energy harvesting througha pre-shaped curved beam model [J]. Applied Mathematics and Mechanics (English Edition), 2025, 46(11): 2017-2034. |
| [8] | Qiaoyun ZHANG, Xiaoyan ZHANG, Jiahao XU, Zhicai SONG, Minghao ZHAO. Vibration characteristic analysis of a cracked piezoelectric semiconductor curved beam [J]. Applied Mathematics and Mechanics (English Edition), 2025, 46(10): 1967-1982. |
| [9] | Hong GUAN, Hui MA, Tianrui YANG, Yanyan CHEN, Yao ZENG, Qinqin MU, Bangchun WEN. Dynamic modeling of a fully flexible rotor-stator system with bolt joint and rubbing-induced nonlinear vibration [J]. Applied Mathematics and Mechanics (English Edition), 2025, 46(10): 1939-1954. |
| [10] | R. A. JAFARI-TALOOKOLAEI, H. GHANDVAR, E. JUMAEV, S. KHATIR, T. CUONG-LE. Free vibration and transient response of double curved beams connected by intermediate straight beams [J]. Applied Mathematics and Mechanics (English Edition), 2025, 46(1): 37-62. |
| [11] | Jie CHEN, Xinyue ZHANG, Mingyang FAN. Dynamic behaviors of graphene platelets-reinforced metal foam piezoelectric beams with velocity feedback control [J]. Applied Mathematics and Mechanics (English Edition), 2025, 46(1): 63-80. |
| [12] | Wei CHEN, Zhihong TANG, Yufen LIAO, Linxin PENG. A six-variable quasi-3D isogeometric approach for free vibration of functionally graded graphene origami-enabled auxeticmetamaterial plates submerged in a fluid medium [J]. Applied Mathematics and Mechanics (English Edition), 2025, 46(1): 157-176. |
| [13] | S. SAURABH, R. KIRAN, D. SINGH, R. VAISH, V. S. CHAUHAN. A comprehensive investigation on nonlinear vibration andbending characteristics of bio-inspired helicoidallaminated composite structures [J]. Applied Mathematics and Mechanics (English Edition), 2025, 46(1): 81-100. |
| [14] | Xiaoyang SU, Tong HU, Wei ZHANG, Houjun KANG, Yunyue CONG, Quan YUAN. Transfer matrix method for free and forced vibrations of multi-level functionally graded material stepped beams with different boundary conditions [J]. Applied Mathematics and Mechanics (English Edition), 2024, 45(6): 983-1000. |
| [15] | S. JAHANGIRI, A. GHORBANPOUR ARANI, Z. KHODDAMI MARAGHI. Dynamics of a rotating ring-stiffened sandwich conical shell with an auxetic honeycomb core [J]. Applied Mathematics and Mechanics (English Edition), 2024, 45(6): 963-982. |
| Viewed | ||||||
|
Full text |
|
|||||
|
Abstract |
|
|||||

Email Alert
RSS