Applied Mathematics and Mechanics (English Edition) ›› 2025, Vol. 46 ›› Issue (3): 521-538.doi: https://doi.org/10.1007/s10483-025-3225-8
Previous Articles Next Articles
Weijiao CHEN1, Xiaochi QU1, Ruixin ZHANG1, Xumin GUO1, Hui MA1,2,†(
), Bangchun WEN1
Received:2024-09-23
Revised:2025-01-06
Published:2025-03-03
Contact:
Hui MA, E-mail: mahui_2007@163.comSupported by:2010 MSC Number:
Weijiao CHEN, Xiaochi QU, Ruixin ZHANG, Xumin GUO, Hui MA, Bangchun WEN. Nonlinear stress analysis of aero-engine pipeline based on semi-analytical method. Applied Mathematics and Mechanics (English Edition), 2025, 46(3): 521-538.
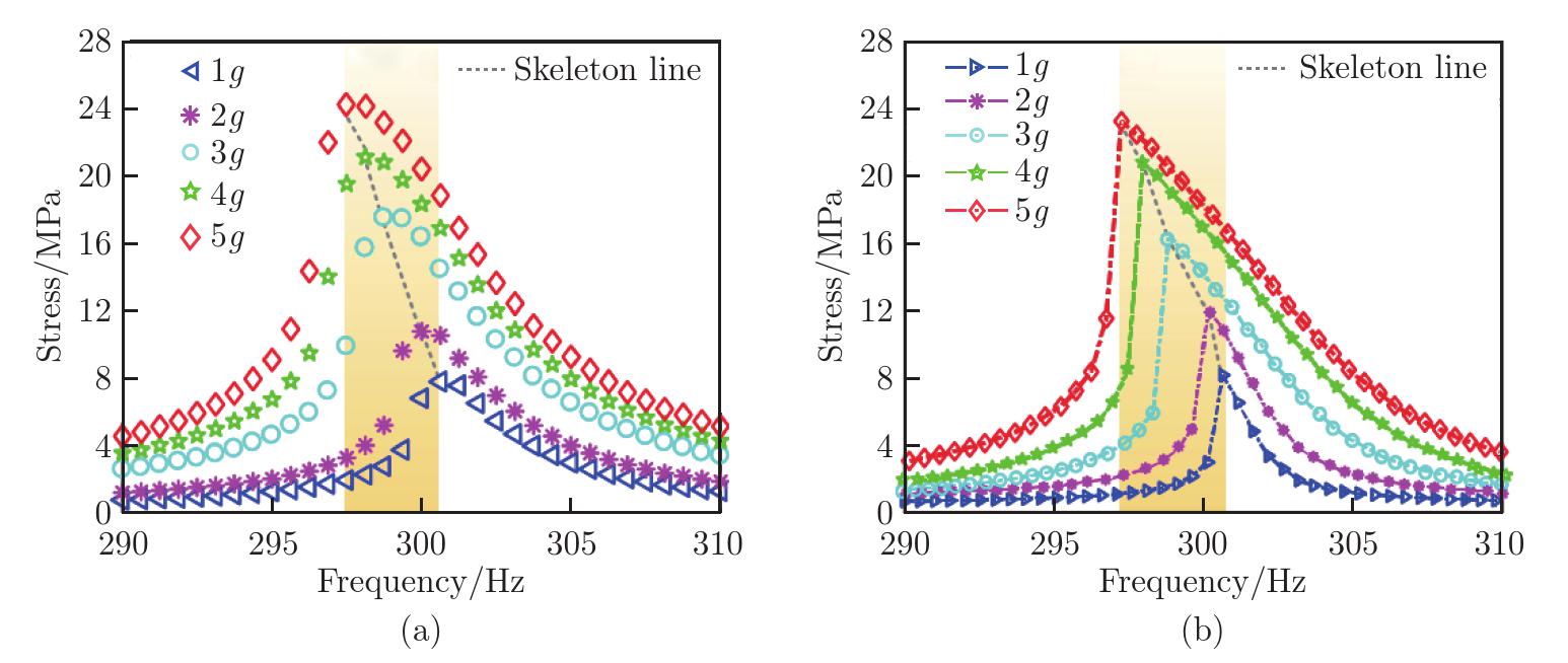
Fig. 6
Modal shapes of pipeline: (a1), (b1), (c1), and (d1) are first four modal shapes calculated by FE model, (a2), (b2), (c2), and (d2) are first four modal shapes calculated by proposed method, and (a3), (b3), (c3), and (d3) are first four modal shapes calculated by experiment (color online)"
Table 3
Comparison of simulated and measured natural frequencies"
| Order | Experiment/Hz | FE model/Hz | Proposed model/Hz | Error 1 | Error 2 |
|---|---|---|---|---|---|
| 1 | 313.45 | 297.74 | 299.15 | 0.47 | 4.56 |
| 2 | 998.12 | 969.26 | 962.97 | 0.65 | 2.89 |
| 3 | 1 875.36 | 1 868.70 | 1 840.84 | 1.49 | 1.84 |
| 4 | 2 901.31 | 2 913.80 | 2 917.69 | 0.13 | 0.58 |
| Note: | |||||
| [1] | GUO, X. M., GE, H., XIAO, C. L., MA, H., SUN, W., and LI, H. Vibration transmission characteristics analysis of the parallel fluid-conveying pipes system: numerical and experimental studies. Mechanical Systems and Signal Processing, 177, 109180 (2022) |
| [2] | LU, Z. Q., ZHANG, K. K., DING, H., and CHEN, L. Q. Internal resonance and stress distribution of pipes conveying fluid in supercritical regime. International Journal of Mechanical Sciences, 186, 105900 (2020) |
| [3] | LIANG, F., YANG, X. D., QIAN, Y. J., and ZHANG, W. Transverse free vibration and stability analysis of spinning pipes conveying fluid. International Journal of Mechanical Sciences, 137, 195–204 (2018) |
| [4] | DING, H. and JI, J. C. Vibration control of fluid-conveying pipes: a state-of-the-art review. Applied Mathematics and Mechanics (English Edition), 44(9), 1423–1456 (2023) https://doi.org/10.1007/s10483-023-3023-9 |
| [5] | YANG, Y. B., QIN, Z. H., and ZHANG, Y. H. Random response analysis of hydraulic pipeline systems under fluid fluctuation and base motion. Mechanical Systems and Signal Processing, 186, 109905 (2023) |
| [6] | CAO, Y. H., LIU, G. M., and ZHI, H. Vibration calculation of pipeline systems with arbitrary branches by the hybrid energy transfer matrix method. Thin-Walled Structures, 183, 110442 (2023) |
| [7] | TUOZZO, D. M., SILVA, O. M., KULAKAUSKAS, L. V. Q., VARGAS, J. G., and LENZI, A. Time-harmonic analysis of acoustic pulsation in gas pipeline systems using the finite element transfer matrix method: theoretical aspects. Mechanical Systems and Signal Processing, 186, 109824 (2023) |
| [8] | MAO, X. Y., JING, J., DING, H., and CHEN, L. Q. Dynamics of axially functionally graded pipes conveying fluid. Nonlinear Dynamics, 111(12), 1–22 (2023) |
| [9] | LIANG, X., ZHA, X., JIANG, X., WANG, L. Z., LENG, J. X., and CAO, Z. Semi-analytical solution for dynamic behavior of a fluid-conveying pipe with different boundary conditions. Ocean Engineering, 163, 183–190 (2018) |
| [10] | TANG, Y., WANG, G., YANG, T. Z., and DING, Q. Nonlinear dynamics of three-directional functional graded pipes conveying fluid with the integration of piezoelectric attachment and nonlinear energy sink. Nonlinear Dynamics, 111(3), 2415–2442 (2023) |
| [11] | WU, J. H., TIJSSELING, A. S., and SUN, Y. D. Vibration analysis by impedance synthesis method of three-dimensional piping connected to a large circular cylindrical shell. Mechanical Systems and Signal Processing, 188, 110063 (2023) |
| [12] | OKE, W. A. and KHULIEF, Y. A. Effect of internal surface damage on vibration behavior of a composite pipe conveying fluid. Composite Structures, 194, 104–118 (2018) |
| [13] | ALIZADEH, A. A., MIRDAMADI, H. R., and PISHEVAR, A. Reliability analysis of pipe conveying fluid with stochastic structural and fluid parameters. Engineering Structure, 122, 24–32 (2016) |
| [14] | WU, J. H., SUN, Y. D., SU, M. Z., and ZHU, H. Z. Fluid-structure interaction and band gap analysis of periodic composite liquid-filled pipe. Composite Structures, 304, 116444 (2023) |
| [15] | GUO, X. M., GU, J. F., LI, H., SUN, K. H., WANG, X., ZHANG, B. J., ZHANG, R. W., GAO, D. W., LIN, J. Z., WANG, B., LUO, Z., SUN, W., and MA. H. Dynamic modeling and experimental verification of an L-shaped pipeline in aero-engine subjected to base harmonic and random excitations. Applied Mathematical Modelling, 126, 249–265 (2024) |
| [16] | PAÏDOUSSIS, M. P. The canonical problem of the fluid-conveying pipe and radiation of the knowledge gained to other dynamics problems across applied mechanics. Journal of Sound and Vibration, 310(3), 462–492 (2008) |
| [17] | PAÏDOUSSIS, M. P. Pipes conveying fluid: a fertile dynamics problem. Journal of Fluids and Structures, 114, 103664 (2022) |
| [18] | PAÏDOUSSIS, M. P. Dynamics of cylindrical structures in axial flow: a review. Journal of Fluids and Structures, 107, 103374 (2021) |
| [19] | WANG, C. G., SONG, X. Y., ZANG, J., and ZHANG, Y. W. Experimental and theoretical investigation on vibration of laminated composite conical-cylindrical-combining shells with elastic foundation in hygrothermal environment. Composite Structures, 323, 117470 (2023) |
| [20] | WANG, C. G., SONG, X. Y., ZANG, J., ZHANG, Y. W., and ZHANG, Z. The rigid-flexible coupling vibration of assembled disk-composite conical shell structure of electric aircraft in hygrothermal circumstance. Thin-Walled Structures, 199, 11182 (2024) |
| [21] | ZANG, J., ZHANG, R. Y., YANG, Y., ZHANG, Z., SONG, X. Y., ZHANG, Y. W., and CHEN, L. Q. Vibration control for laminated composite spherical-cylindrical-combined shells: theory and experiment. AIAA Journal, 63, 453–475 (2025) |
| [22] | ZANG, J., YANG, Y., ZHANG, R. Y., YANG, X. D., ZHANG, Y. W., and CHEN, L. Q. Dynamic evolution and vibration control of laminated composite joined conical-cylindrical-conical shells in thermal environment: theoretical and experimental research. Composite Structures, 354, 118782 (2024) |
| [23] | XIONG, X., WANG, Y., LI, J. Q., and LI, F. M. Internal resonance analysis of bio-inspired X-shaped structure with nonlinear vibration absorber. Mechanical Systems and Signal Processing, 185, 109809 (2023) |
| [24] | WANG, Y., JING, X. J., DAI, H. H., and LI, F. M. Subharmonics and ultra-subharmonics of a bio-inspired nonlinear isolation system. International Journal of Mechanical Sciences, 152, 167–184 (2019) |
| [25] | DING, H., JI, J. C., and CHEN, L. Q. Nonlinear vibration isolation for fluid-conveying pipes using quasi-zero stiffness characteristics. Mechanical Systems and Signal Processing, 121, 675–688 (2019) |
| [26] | AMABILI, M. A comparison of shell theories for large-amplitude vibrations of circular cylindrical shells: Lagrangian approach. Journal of Sound and Vibration, 264(5), 1091–1125 (2003) |
| [27] | STROZZI, M., ELISHAKOFF, I. E., and BOCHICCHIO, M. A comparison of shell theories for vibration analysis of single-walled carbon nanotubes based on an anisotropic elastic shell model. Nanomaterials, 13, 1390 (2023) |
| [28] | WAHAB, M. A., ALAM, M. S., PANG, S. S., PECK, J. A., and JONES, R. A. Stress analysis of non-conventional composite pipes. Composite Structures, 79(1), 125–132 (2007) |
| [29] | BEZBORODOV, S. A. and ULANOV, A. M. Calculation of vibration of pipeline bundle with damping support made of MR material. Procedia Engineering, 176, 169–174 (2017) |
| [30] | KIM, J. S., JANG, J. H., and KIM, Y. J. Efficient elastic stress analysis method for piping system with wall-thinning and reinforcement. Nuclear Engineering and Technology, 54(2), 732–740 (2022) |
| [31] | JI, W. H., SUN, W., DU, D. X., and CAO, Y. H. Dynamics modeling and stress response solution for liquid-filled pipe system considering both fluid velocity and pressure fluctuations. Thin-Walled Structures, 188, 110831 (2023) |
| [32] | ZHAO, L. C., ZOU, H. X., ZHAO, Y. J., WU, Z. Y., LIU, F. R., WEI. K. X., and ZHANG, W. M. Hybrid energy harvesting for self-powered rotor condition monitoring using maximal utilization strategy in structural space and operation process. Applied Energy, 314, 118983 (2022) |
| [33] | ZHAO, L. C., ZOU, H. X., WU, Z. Y., GAO, Q. H., GE, Y., LIU, F. R., WEI, K. X., and ZHANG, W. Dynamically synergistic regulation mechanism for rotation energy harvesting. Mechanical Systems and Signal Processing, 169, 108637 (2022) |
| [34] | ZHANG, J. N., XIAO, L., MAO, X. Y., DING, H., and CHEN, L. Q. Fatigue life analysis of a slightly curved hydraulic pipe based on Pairs theory. Nonlinear Dynamics, 111(4), 1–15 (2023) |
| [35] | REN, Z. Y., SHEN, L. L., BAI, H. B., and ZHONG, S. C. Constitutive model of disordered grid interpenetrating structure of flexible microporous metal rubber. Mechanical Systems and Signal Processing, 154, 107567 (2021) |
| [36] | CAO, Y. M., CHEN, W. J., MA, H., LI, H., WANG, B., TAN, L., WANG, X., and HAN, Q. K. Dynamic modeling and experimental verification of clamp-pipeline system with soft nonlinearity. Nonlinear Dynamics, 111(19), 17725–17748 (2023) |
| [37] | CHEN, W. J., CAO, Y. M., CHEN, S., GUO, X. M., MA, H., and WEN. B. C. Semi-analytical dynamic modeling of parallel pipeline considering soft nonlinearity of clamp: a simulation and experimental study. Mechanical Systems and Signal Processing, 201, 110648 (2023) |
| [38] | MA, H. W., SUN, W., JI, W. H., LIU, X. F., LIU, H. H., and DU, D. X. Nonlinear vibration analysis of Z-shaped pipes with CLD considering amplitude-dependent characteristics of clamps. International Journal of Mechanical Sciences, 262(4), 108739 (2023) |
| [39] | BAGHERI, H., KIANI, Y., and ESLAMI, M. R. Free vibration of conical shells with intermediate ring support. Aerospace Science and Technology, 69, 321–332 (2017) |
| [40] | LI, H., DONG, B. C., GAO, Z. J., ZHAO, J. ZHANG, H. Y., WANG, X. P., and HAN, Q. K. Analytical modeling and vibration analysis of fiber reinforced composite hexagon honeycomb sandwich cylindrical-spherical combined shells. Applied Mathematics and Mechanics (English Edition), 43(9), 1307–1322 (2022) https://doi.org/10.1007/s10483-022-2858-7 |
| [41] | LI, H., CAO, J. C., HAN, J. T., LI, J. H., and YANG, Y. Dynamic modeling and vibration suppression evaluation of composite honeycomb hemispherical shell with functional gradient protective coating. Thin-Walled Structures, 202(10), 112066 (2022) |
| [42] | WANG, W. W., GUAN, H., MA, H., WANG, H. Z., MU, Q. Q., ZENG, Y., CHEN, Y. Y., and WEN, B. C. Dynamic stress analysis of a disc considering actual crack paths: experiment and simulation. Mechanical Systems and Signal Processing, 224, 112199 (2025) |
| [1] | Lele REN, Wei ZHANG, Yufei ZHANG. Inter-well internal resonance analysis of rectangular asymmetric cross-ply bistable composite laminated cantilever shell under transverse foundation excitation [J]. Applied Mathematics and Mechanics (English Edition), 2024, 45(8): 1353-1370. |
| [2] | Long ZHAO, Zeqi LU, Hu DING, Liqun CHEN. A viscoelastic metamaterial beam for integrated vibration isolation and energy harvesting [J]. Applied Mathematics and Mechanics (English Edition), 2024, 45(7): 1243-1260. |
| [3] | Lele REN, Wei ZHANG, Ting DONG, Yufei ZHANG. Snap-through behaviors and nonlinear vibrations of a bistable composite laminated cantilever shell: an experimental and numerical study [J]. Applied Mathematics and Mechanics (English Edition), 2024, 45(5): 779-794. |
| [4] | Ying MENG, Xiaoye MAO, Hu DING, Liqun CHEN. Nonlinear vibrations of a composite circular plate with a rigid body [J]. Applied Mathematics and Mechanics (English Edition), 2023, 44(6): 857-876. |
| [5] | Jihou YANG, Weixing ZHANG, Xiaodong YANG. Integrated device for multiscale series vibration reduction and energy harvesting [J]. Applied Mathematics and Mechanics (English Edition), 2023, 44(12): 2227-2242. |
| [6] | Rongzhou LIN, Lei HOU, Yi CHEN, Yuhong JIN, N. A. SAEED, Yushu CHEN. A novel adaptive harmonic balance method with an asymptotic harmonic selection [J]. Applied Mathematics and Mechanics (English Edition), 2023, 44(11): 1887-1910. |
| [7] | Bo YAN, Ning YU, Chuanyu WU. A state-of-the-art review on low-frequency nonlinear vibration isolation with electromagnetic mechanisms [J]. Applied Mathematics and Mechanics (English Edition), 2022, 43(7): 1045-1062. |
| [8] | Ning YU, Xiangyi FEI, Chuanyu WU, Bo YAN. Modeling and analysis of magnetic spring enhanced lever-type electromagnetic energy harvesters [J]. Applied Mathematics and Mechanics (English Edition), 2022, 43(5): 743-760. |
| [9] | Dengbo ZHANG, Youqi TANG, Ruquan LIANG, Yuanmei SONG, Liqun CHEN. Internal resonance of an axially transporting beam with a two-frequency parametric excitation [J]. Applied Mathematics and Mechanics (English Edition), 2022, 43(12): 1805-1820. |
| [10] | M. EFTEKHARI, A. DASHTI-RAHMATABADI, A. MAZIDI. Magnetic field effects on the nonlinear vibration of a rotor [J]. Applied Mathematics and Mechanics (English Edition), 2020, 41(2): 289-312. |
| [11] | Junda LI, Jianliang HUANG. Subharmonic resonance of a clamped-clamped buckled beam with 1:1 internal resonance under base harmonic excitations [J]. Applied Mathematics and Mechanics (English Edition), 2020, 41(12): 1881-1896. |
| [12] | Yimin WEI, Sha WEI, Qianlong ZHANG, Xinjian DONG, Zhike PENG, Wenming ZHANG. Targeted energy transfer of a parallel nonlinear energy sink [J]. Applied Mathematics and Mechanics (English Edition), 2019, 40(5): 621-630. |
| [13] | Yanqing WANG, Yunfei LIU, J. W. ZU. Nonlinear free vibration of piezoelectric cylindrical nanoshells [J]. Applied Mathematics and Mechanics (English Edition), 2019, 40(5): 601-620. |
| [14] | Canchang LIU, Qian DING, Qingmei GONG, Chicheng MA, Shuchang YUE. Axial control for nonlinear resonances of electrostatically actuated nanobeam with graphene sensor [J]. Applied Mathematics and Mechanics (English Edition), 2017, 38(4): 527-542. |
| [15] | Hu DING, Linglu HUANG, Xiaoye MAO, Liqun CHEN. Primary resonance of traveling viscoelastic beam under internal resonance [J]. Applied Mathematics and Mechanics (English Edition), 2017, 38(1): 1-14. |
| Viewed | ||||||
|
Full text |
|
|||||
|
Abstract |
|
|||||

Email Alert
RSS