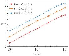
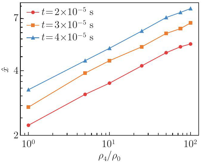
| [1] |
SEDOV, L. I. Similarity and Dimensional Methods in Mechanics, Academic Press, Elsevier, Amsterdam (1959)
|
| [2] |
DUBNER, G. and GIACANI, E. Radio emission from supernova remnants. The Astronomy and Astrophysics Review, 23(1), 3 (2015)
|
| [3] |
WOLTJER, L. Supernova remnants. Annual Review of Astronomy and Astrophysics, 10, 129–158 (1972)
|
| [4] |
JIMÉNEZ, S., GUILLERMO, T. T., and SERGIY, S. The full evolution of supernova remnants in low- and high-density ambient media. Monthly Notices of the Royal Astronomical Society, 488(1), 978–990 (2019)
|
| [5] |
CHEN, X. and SUN, X. H. The evolution of radio flux density of supernova remnant G1.9+0.3. Chinese Astronomy and Astrophysics, 46(4), 426–432 (2022)
|
| [6] |
ABUYAZID, N. H., CHEN, X. S., MARIOTTI, D., MAGUIRE, P., HOGAN, C. J., and SANKARAN, R. M. Understanding the depletion of electrons in dusty plasmas at atmospheric pressure. Plasma Sources Science and Technology, 29(7), 075011, (2020)
|
| [7] |
BALCON, N., AANESLAND, A., and BOSWELL, R. Pulsed RF discharges, glow and filamentary mode at atmospheric pressure in argon. Plasma Sources Science and Technology, 16(2), 217 (2007)
|
| [8] |
ABUYAZID, N. H., ÜNER, N. B., PEYRES, S. M., and SANKARAN, R. M. Charge decay in the spatial afterglow of plasmas and its impact on diffusion regimes. Nature Communications, 14(1), 6776 (2023)
|
| [9] |
BASKO, M. M. Numerical method for simulating rarefaction shocks in the approximation of phase-flip hydrodynamics. Applied Mathematics and Mechanics (English Edition), 42(6), 871–884 (2021) https://doi.org/10.1007/s10483-021-2734-6
|
| [10] |
GUAN, H., WANG, J. C., WEI, Z. J., and WU, C. J. Numerical analysis of the interaction of 3D compressible bubble clusters. Applied Mathematics and Mechanics (English Edition), 40(8), 1181–1196 (2019) https://doi.org/10.1007/s10483-019-2509-6
|
| [11] |
MA, T. B., WANG, C. T., and XU, X. Z. Conservative high precision pseudo arc-length method for strong discontinuity of detonation wave. Applied Mathematics and Mechanics (English Edition), 43(3), 417–436 (2022) https://doi.org/10.1007/s10483-022-2817-9
|
| [12] |
TAYLOR, G. I. The air wave surrounding an expanding sphere. Proceedings of the Royal Society of London, 186, 273292 (1946)
|
| [13] |
WHITHAM, G. B. The propagation of spherical blast. Proceedings of the Royal Society of London, 203, 571581 (1950)
|
| [14] |
TAYLOR, G. I. The formation of a blast wave by a very intense explosion i: theoretical discussion. Proceedings of the Royal Society of London, 201, 159174 (1950)
|
| [15] |
BRODE, H. L. Numerical solutions of spherical blast waves. Journal of Applied Physics, 26, 766775 (1955)
|
| [16] |
BOYER, D. W. An experimental study of the explosion generated by a pressurized sphere. Journal of Fluid Mechanics, 9, 401–429 (1960)
|
| [17] |
SACHDEV, P. L. Shock Waves and Explosions, Chapman & Hall/CRC, Boca Raton (2004)
|
| [18] |
WHITHAM, G. B. On the propagation of shock waves through regions of non-uniform area or flow. Journal of Fluid Mechanics, 4, 337–360 (1958)
|
| [19] |
SAKURAI, A. On the propagation and structure of the blast wave, I. Journal of the Physical Society of Japan, 8, 662–669 (1953)
|
| [20] |
SAKURAI, A. On the propagation and structure of a blast wave, II. Journal of the Physical Society of Japan, 9, 256–266 (1954)
|
| [21] |
LING, Y. and BALACHANDAR, S. Asymptotic scaling laws and semi-similarity solutions for a finite-source spherical blast wave. Journal of Fluid Mechanics, 850, 674–707 (2018)
|
| [22] |
NATH, G. Analytical solution for unsteady adiabatic and isothermal flows behind the shock wave in a rotational axisymmetric mixture of perfect gas and small solid particles. Zeitschrift für Naturforschung A, 76(9), 853–873 (2021)
|
| [23] |
NATH, G. Analytical solution for unsteady flow behind ionizing shock wave in a rotational axisymmetric non-ideal gas with azimuthal or axial magnetic field. Zeitschrift für Naturforschung A, 76(3), 265–283 (2021)
|
| [24] |
NATH, G. Propagation of ionizing shock wave in a dusty gas medium under the influence of gravitational and azimuthal magnetic fields. Physics of Fluids, 34(8), 083307 (2022)
|
| [25] |
KRIEF, M. Piston driven shock waves in non-homogeneous planar media. Physics of Fluids, 35(4), 046102 (2023)
|
| [26] |
PETRUK, O. Approximations of the self-similar solution for a blastwave in a medium with power-law density variation. Astronomy & Astrophysics, 357, 686–696 (2000)
|
| [27] |
ROGERS, M. H. Similarity flows behind strong shock waves. Quarterly Journal of Mechanics and Applied Nathematics, 11, 411-423 (1958)
|
| [28] |
MA, Q. H., CHONG, K. L., WANG, B. F., and ZHOU, Q. Strong shock propagation for the finite-source circular blast in a confined domain. Applied Mathematics and Mechanics (English Edition), 45(6), 1071–1084 (2024) https://doi.org/10.1007/s10483-024-3120-7
|
| [29] |
TAYLOR, G. I. The formation of a blast wave by a very intense explosion, II, the atomic explosion of 1945. Proceedings of the Royal Society of London, 201, 175–186 (1950)
|
| [30] |
NATH, G. Approximate analytical solution for the propagation of shock waves in self-gravitating perfect gas via power series method: isothermal flow. Journal of Astrophysics and Astronomy, 41(1), 21 (2020)
|
| [31] |
TORO, E. F., SPRUCE, M., and SPEARES, W. Restoration of the contact surface in the HLL-Riemann solver. Shock Waves, 4, 25–34 (1994)
|
| [32] |
MA, Q. H., FENG, F., WANG, B. F., and ZHOU, Q. High order finite-volume central targeted eno family scheme for compressible ows in unstructured meshes. arXiv Print, (2023)
|
| [33] |
JI, Z., LIANG, T., and FU, L. A class of new high-order finite-volume TENO schemes for hyperbolic conservation laws with unstructured meshes. Journal of Scientific Computing, 92, 61 (2022)
|
| [34] |
HOU, Y. H., JIN, K., FENG, Y. L., and ZHENG, X. J. High-order targeted essentially nonoscillatory scheme for two-fluid plasma model. Applied Mathematics and Mechanics (English Edition), 44(6), 941–960 (2023) https://doi.org/10.1007/s10483-023-3003-6
|
| [35] |
GOTTLIEB, S. and SHU, C. W. Total variation diminishing Runge-Kutta schemes. Mathematics of Computation, 67, 73–85 (1998)
|
| [36] |
LING, Y., HASELBACHER, A., and BALACHANDAR, S. Modeling and simulation of explosive dispersal of particles in a multiphase explosion. 47th AIAA Aerospace Sciences Meeting Including the New Horizons Forum and Aerospace Exposition, Orlando, Florida, AIAA2009-1532 (2012)
|
| [37] |
CHEN, X., LIU, F., WANG, Y. Z., ZHANG, S. Y., LI, Q., WU, J. Z., WANG, B. F., CHONG, K. L., WANG, C., ZHANG, J. H., and ZHOU, Q. Experimental study of the circular subsonic pipe jet expanding into near vacuum environment. Science China-Physics Mechanics & Astronomy, 68, 294703 (2025)
|