Applied Mathematics and Mechanics (English Edition) ›› 2025, Vol. 46 ›› Issue (12): 2317-2340.doi: https://doi.org/10.1007/s10483-025-3321-8
Previous Articles Next Articles
S. SAURABH1, S. K. SINGH2, V. S. CHAUHAN1, R. KIRAN1,†(
)
Received:2025-04-08
Revised:2025-09-28
Published:2025-11-28
Contact:
R. KIRAN, E-mail: raj@iitmandi.ac.in2010 MSC Number:
S. SAURABH, S. K. SINGH, V. S. CHAUHAN, R. KIRAN. On the buckling and vibration behavior of carbon nanotube-reinforced bioinspired composite plates: a combined microstructural and hygrothermal investigation via isogeometric analysis. Applied Mathematics and Mechanics (English Edition), 2025, 46(12): 2317-2340.
Fig. 1
Helicoidal patterns observed in natural biological systems, including (a) fingerprints and DNA structures, (b) snail shells, (c) the dactyl club of mantis shrimp, (d) beetle exoskeletons, and (e) arapaima gigas scales, which inspire (f) the development of helicoidal structures for (g) laminated plate designs. Potential engineering applications include (h) aircraft structures, (i) armored tanks, (j) naval warships, (k) wind turbine blades, and (l) hydraulic turbine blades (all the figures were reproduced from Jiang et al.[15]) (color online)"
Table 1
Various helicoidal layup schemes (all angles are in degrees)[29]"
| Layup scheme | Number of layers |
|---|---|
| HR | [0/1/3/6/10/15/15/10/6/3/1/0] |
| HE | [2/4/8/2/4/8/8/4/2/8/4/2] |
| HS | [0/27/36/41.3/44.1/45/45/44.1/41.3/36/27/0], |
| LH (with a twisting (or pitch) angle of | [0/4/8/12/16/20/20/16/12/8/4/0] |
| FH | [0/10/10/20/30/50/50/30/20/10/10/0] |
| QI | [0/90/45/ |
Table 2
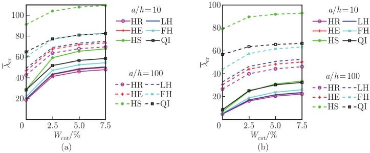
The results of λ¯cr for square SSSS CNT-reinforced bioinspired composite plates at T=300 K for uniaxial stress conditions"
| Layup scheme | |||||||||
|---|---|---|---|---|---|---|---|---|---|
| 0.0 | 2.5 | 5.0 | 7.5 | 0.0 | 2.5 | 5.0 | 7.5 | ||
| 2 | HR | 14.685 3 | 23.195 6 | 25.080 5 | 25.813 0 | 21.209 9 | 26.858 8 | 28.494 4 | 29.158 5 |
| HE | 14.648 1 | 23.170 8 | 25.056 6 | 25.789 0 | 21.149 3 | 26.844 7 | 28.483 6 | 29.148 2 | |
| HS | 17.082 6 | 25.865 6 | 27.678 5 | 28.375 1 | 24.516 4 | 30.365 3 | 31.893 9 | 32.520 0 | |
| LH | 14.866 9 | 23.399 1 | 25.280 5 | 26.011 1 | 21.450 0 | 27.120 4 | 28.750 0 | 29.411 2 | |
| FH | 15.287 8 | 23.858 1 | 25.728 7 | 26.454 0 | 21.981 2 | 27.698 6 | 29.313 8 | 29.968 4 | |
| QI | 18.841 6 | 26.865 6 | 28.622 3 | 29.311 7 | 25.393 2 | 30.524 7 | 32.026 8 | 32.644 6 | |
| 4 | HR | 14.638 6 | 23.148 9 | 25.034 3 | 25.767 2 | 21.188 1 | 26.819 7 | 28.453 1 | 29.116 5 |
| HE | 14.601 4 | 23.124 1 | 25.010 5 | 25.743 2 | 21.127 2 | 26.805 5 | 28.442 2 | 29.106 2 | |
| HS | 17.032 1 | 25.820 1 | 27.634 6 | 28.331 6 | 24.490 6 | 30.328 4 | 31.855 6 | 32.471 0 | |
| LH | 14.820 0 | 25.352 5 | 25.544 5 | 25.965 4 | 21.427 9 | 27.081 4 | 28.708 9 | 29.369 4 | |
| FH | 15.240 3 | 23.811 7 | 25.683 0 | 26.408 6 | 21.958 4 | 27.659 9 | 29.273 1 | 29.927 0 | |
| QI | 18.795 6 | 26.822 2 | 28.579 1 | 29.268 4 | 25.373 3 | 30.489 1 | 31.988 6 | 32.605 4 | |
Table 3
The results of λ¯cr for square SSSS CNT-reinforced bioinspired composite plates at T=340 K for uniaxial stress conditions"
| Layup scheme | |||||||||
|---|---|---|---|---|---|---|---|---|---|
| 0.0 | 2.5 | 5.0 | 7.5 | 0.0 | 2.5 | 5.0 | 7.5 | ||
| 2 | HR | 5.887 6 | 13.479 5 | 15.373 1 | 16.119 4 | 18.364 7 | 20.678 4 | 21.542 5 | 21.928 7 |
| HE | 5.871 8 | 13.442 2 | 15.336 4 | 16.083 4 | 18.241 7 | 20.608 8 | 21.487 0 | 21.878 6 | |
| HS | 7.292 0 | 15.774 8 | 17.824 0 | 18.624 1 | 20.751 0 | 23.874 3 | 24.906 0 | 25.348 8 | |
| LH | 6.000 9 | 13.654 3 | 15.558 4 | 16.308 4 | 18.535 8 | 20.909 9 | 21.787 2 | 22.177 9 | |
| FH | 6.271 0 | 14.060 5 | 15.986 9 | 16.744 5 | 18.908 4 | 21.421 4 | 22.328 8 | 22.729 9 | |
| QI | 8.448 6 | 17.638 8 | 19.515 4 | 20.238 0 | 22.790 3 | 24.906 7 | 25.697 1 | 26.049 4 | |
| 4 | HR | 4.534 7 | 11.463 5 | 13.327 7 | 14.068 2 | 17.987 2 | 19.921 8 | 20.615 9 | 20.929 9 |
| HE | 4.527 0 | 11.428 2 | 13.290 5 | 14.030 9 | 17.855 9 | 19.837 2 | 20.545 2 | 20.864 7 | |
| HS | 5.698 0 | 13.568 5 | 15.609 5 | 16.414 5 | 20.220 6 | 22.913 5 | 23.797 1 | 24.181 2 | |
| LH | 4.629 7 | 11.625 6 | 13.501 6 | 14.246 5 | 18.147 4 | 20.137 8 | 20.846 3 | 21.165 7 | |
| FH | 4.861 0 | 12.003 9 | 13.905 8 | 14.660 0 | 18.495 8 | 20.613 4 | 21.355 2 | 21.687 1 | |
| QI | 6.378 3 | 15.549 0 | 17.485 1 | 18.229 8 | 22.452 4 | 24.212 7 | 24.849 5 | 25.137 1 | |
Table 4
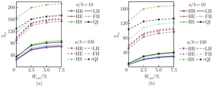
The results of λ¯cr for square CCCC CNT-reinforced bioinspired composite plates at T=300 K for uniaxial stress conditions"
| Layup scheme | |||||||||
|---|---|---|---|---|---|---|---|---|---|
| 0.0 | 2.5 | 5.0 | 7.5 | 0.0 | 2.5 | 5.0 | 7.5 | ||
| 2 | HR | 30.073 9 | 59.033 2 | 65.009 0 | 67.246 01 | 87.976 77 | 108.132 9 | 113.503 4 | 115.692 7 |
| HE | 29.908 9 | 58.792 9 | 64.761 4 | 66.995 26 | 87.298 02 | 107.632 8 | 113.029 1 | 115.225 7 | |
| HS | 30.205 3 | 56.875 4 | 62.460 8 | 64.562 72 | 77.307 26 | 99.320 4 | 104.957 4 | 107.214 5 | |
| LH | 30.081 1 | 58.891 1 | 64.842 8 | 67.071 12 | 87.178 43 | 107.512 8 | 112.910 5 | 115.107 5 | |
| FH | 30.121 7 | 58.592 6 | 64.486 5 | 66.695 03 | 85.395 48 | 106.099 4 | 111.553 1 | 113.765 5 | |
| QI | 33.771 3 | 62.528 9 | 68.072 7 | 70.164 61 | 87.524 31 | 106.300 8 | 111.490 6 | 113.617 1 | |
| 4 | HR | 29.925 0 | 58.881 0 | 64.866 8 | 67.107 30 | 87.884 40 | 108.004 1 | 113.367 5 | 115.553 7 |
| HE | 29.760 6 | 58.640 9 | 64.619 1 | 66.856 70 | 87.204 60 | 107.503 3 | 112.892 7 | 115.086 3 | |
| HS | 30.067 5 | 56.733 7 | 63.327 1 | 64.432 20 | 77.206 30 | 99.183 6 | 104.816 5 | 107.072 0 | |
| LH | 29.932 9 | 58.739 6 | 64.700 9 | 66.932 90 | 87.085 20 | 107.382 2 | 112.774 1 | 114.968 1 | |
| FH | 29.975 2 | 58.442 6 | 64.345 9 | 66.558 00 | 85.300 50 | 105.968 2 | 111.415 5 | 113.652 3 | |
| QI | 33.609 8 | 62.388 2 | 67.939 8 | 70.034 50 | 87.442 40 | 106.176 9 | 111.358 8 | 113.481 9 | |
Table 5
The results of λ¯cr for square CCCC CNT-reinforced bioinspired composite plates at T=340 K for uniaxial stress conditions"
| Layup scheme | |||||||||
|---|---|---|---|---|---|---|---|---|---|
| 0.0 | 2.5 | 5.0 | 7.5 | 0.0 | 2.5 | 5.0 | 7.5 | ||
| 2 | HR | 8.755 71 | 26.336 3 | 32.302 9 | 34.785 5 | 71.289 0 | 85.646 6 | 89.358 2 | 90.904 2 |
| HE | 8.743 19 | 26.189 3 | 32.127 7 | 34.601 3 | 70.489 3 | 84.943 1 | 88.694 3 | 90.256 8 | |
| HS | 9.600 48 | 26.733 3 | 32.263 5 | 34.549 9 | 60.665 8 | 74.776 3 | 78.821 0 | 80.522 6 | |
| LH | 8.793 48 | 26.361 5 | 32.297 8 | 34.767 8 | 70.454 3 | 84.827 7 | 88.573 0 | 90.134 2 | |
| FH | 8.956 57 | 26.442 7 | 32.312 9 | 34.753 5 | 68.624 6 | 83.003 0 | 86.816 9 | 88.409 3 | |
| QI | 10.510 40 | 29.720 4 | 36.186 4 | 38.879 8 | 73.513 6 | 85.475 0 | 88.754 4 | 90.144 0 | |
| 4 | HR | 6.601 90 | 20.648 7 | 25.882 3 | 28.132 4 | 67.626 3 | 81.953 5 | 85.360 7 | 86.770 6 |
| HE | 6.613 87 | 20.535 3 | 25.737 8 | 27.976 4 | 66.826 5 | 81.213 4 | 84.654 2 | 86.079 0 | |
| HS | 7.283 98 | 21.379 3 | 26.309 5 | 28.405 3 | 57.609 7 | 70.856 7 | 74.468 3 | 75.993 0 | |
| LH | 6.612 90 | 20.697 4 | 25.909 9 | 28.149 3 | 66.829 1 | 81.108 6 | 84.539 4 | 85.961 3 | |
| FH | 6.751 80 | 20.831 6 | 25.995 7 | 28.211 3 | 65.091 8 | 79.233 2 | 82.710 1 | 84.156 1 | |
| QI | 8.119 40 | 23.546 1 | 29.228 5 | 31.667 3 | 70.621 9 | 82.294 2 | 85.225 8 | 86.459 4 | |
Table 6
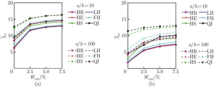
The results of ω¯ for square CNT-reinforced bioinspired composite plates with Mm=2% at T=300 K"
| Boundary condition | Layup scheme | ||||||||
|---|---|---|---|---|---|---|---|---|---|
| 0.0 | 2.5 | 5.0 | 7.5 | 0.0 | 2.5 | 5.0 | 7.5 | ||
| SSSS | HR | 11.974 2 | 15.031 6 | 15.628 1 | 15.854 0 | 14.471 1 | 16.282 7 | 16.770 9 | 16.965 1 |
| HE | 11.968 6 | 15.031 1 | 15.627 9 | 15.853 7 | 14.464 3 | 16.287 4 | 16.776 0 | 16.970 2 | |
| HS | 13.059 9 | 16.001 2 | 16.541 2 | 16.744 4 | 15.787 0 | 17.467 4 | 17.887 6 | 18.055 1 | |
| LH | 12.056 8 | 15.105 9 | 15.698 5 | 15.922 8 | 14.570 4 | 16.373 3 | 16.856 6 | 17.048 9 | |
| FH | 12.249 2 | 15.273 7 | 15.856 8 | 16.077 2 | 14.789 2 | 16.572 8 | 17.045 1 | 17.233 0 | |
| QI | 13.577 9 | 16.183 3 | 16.700 6 | 16.899 4 | 15.835 6 | 17.359 8 | 17.781 5 | 17.952 1 | |
| CCCC | HR | 20.454 1 | 28.399 9 | 29.783 5 | 30.285 8 | 35.718 1 | 40.231 7 | 41.321 6 | 41.753 1 |
| HE | 20.433 0 | 28.372 3 | 29.755 7 | 30.258 0 | 35.649 7 | 40.183 6 | 41.276 7 | 41.709 2 | |
| HS | 20.894 6 | 28.374 6 | 29.700 3 | 30.185 0 | 34.641 5 | 39.413 5 | 40.547 8 | 40.994 4 | |
| LH | 20.477 3 | 28.396 9 | 29.776 9 | 30.278 1 | 35.645 2 | 40.176 6 | 41.269 8 | 41.702 3 | |
| FH | 20.557 1 | 28.404 4 | 29.774 7 | 30.272 9 | 35.481 2 | 40.051 6 | 41.151 8 | 41.586 6 | |
| QI | 23.133 8 | 30.014 9 | 31.229 7 | 31.679 5 | 36.282 9 | 40.537 0 | 41.599 3 | 42.022 7 | |
Table 7
The results of ω¯ for square CNT-reinforced bioinspired composite plates with Mm=2% at T=340 K"
| Boundary condition | Layup scheme | ||||||||
|---|---|---|---|---|---|---|---|---|---|
| 0.0 | 2.5 | 5.0 | 7.5 | 0.0 | 2.5 | 5.0 | 7.5 | ||
| SSSS | HR | 7.591 9 | 11.474 5 | 12.249 9 | 12.542 2 | 13.467 1 | 14.288 8 | 14.584 0 | 14.713 9 |
| HE | 7.589 9 | 11.468 5 | 12.244 8 | 12.537 5 | 13.441 3 | 14.279 5 | 14.578 6 | 14.710 1 | |
| HS | 8.539 4 | 12.557 0 | 13.335 7 | 13.626 3 | 14.618 8 | 15.594 3 | 15.903 1 | 16.034 0 | |
| LH | 7.667 5 | 11.557 0 | 12.332 4 | 12.624 5 | 13.553 7 | 14.387 2 | 14.683 6 | 14.813 8 | |
| FH | 7.849 9 | 11.750 3 | 12.524 1 | 12.815 1 | 13.743 5 | 14.603 8 | 14.903 2 | 15.033 8 | |
| QI | 9.393 6 | 13.142 5 | 13.815 6 | 14.066 0 | 15.003 6 | 15.683 4 | 15.929 9 | 16.038 5 | |
| CCCC | HR | 11.332 2 | 19.188 6 | 21.171 4 | 21.942 7 | 31.574 2 | 35.152 1 | 36.049 6 | 36.416 8 |
| HE | 11.336 4 | 19.169 4 | 21.149 3 | 21.919 6 | 31.491 7 | 35.080 8 | 35.982 9 | 36.352 0 | |
| HS | 12.024 1 | 19.698 8 | 21.569 8 | 22.294 4 | 30.478 6 | 34.048 4 | 34.990 6 | 35.378 6 | |
| LH | 11.354 0 | 19.215 0 | 21.192 5 | 21.961 3 | 31.502 1 | 35.077 4 | 35.977 9 | 36.346 5 | |
| FH | 11.477 7 | 19.305 1 | 21.266 1 | 22.027 9 | 31.342 8 | 34.909 7 | 35.816 4 | 36.188 0 | |
| QI | 13.783 5 | 21.972 3 | 23.778 4 | 24.461 8 | 32.652 7 | 35.770 7 | 36.585 3 | 36.922 3 | |
Table 8
The results of ω¯ for square CNT-reinforced bioinspired composite plates with Mm=4% at T=300 K"
| Boundary condition | Layup scheme | ||||||||
|---|---|---|---|---|---|---|---|---|---|
| 0.0 | 2.5 | 5.0 | 7.5 | 0.0 | 2.5 | 5.0 | 7.5 | ||
| SSSS | HR | 11.955 2 | 15.016 5 | 15.613 8 | 15.839 9 | 14.463 6 | 16.270 9 | 16.758 7 | 16.952 9 |
| HE | 11.949 7 | 15.016 0 | 15.613 5 | 15.839 6 | 14.456 7 | 16.275 5 | 16.763 8 | 16.958 0 | |
| HS | 13.040 8 | 15.987 4 | 16.528 3 | 16.731 8 | 15.779 2 | 17.457 1 | 17.877 2 | 18.044 5 | |
| LH | 12.037 8 | 15.090 9 | 15.684 3 | 15.908 9 | 14.562 9 | 16.361 6 | 16.844 6 | 17.036 8 | |
| FH | 12.230 2 | 15.259 0 | 15.842 8 | 16.063 5 | 14.718 7 | 16.561 3 | 17.033 3 | 17.221 2 | |
| QI | 13.561 5 | 16.170 3 | 16.688 0 | 16.887 0 | 15.829 4 | 17.349 7 | 17.770 9 | 17.941 3 | |
| CCCC | HR | 20.405 2 | 28.363 8 | 29.751 2 | 30.254 9 | 35.695 8 | 40.205 0 | 41.294 6 | 41.726 0 |
| HE | 20.384 1 | 28.336 2 | 29.723 4 | 30.227 0 | 35.627 3 | 40.156 9 | 41.249 6 | 41.681 9 | |
| HS | 20.848 5 | 28.340 2 | 29.669 3 | 30.155 1 | 34.618 0 | 39.385 5 | 40.520 7 | 40.966 4 | |
| LH | 20.428 5 | 28.360 9 | 29.744 7 | 30.247 3 | 35.622 8 | 40.149 9 | 41.242 7 | 41.675 1 | |
| FH | 20.508 7 | 28.368 7 | 29.742 7 | 30.242 2 | 35.458 6 | 40.024 6 | 41.124 6 | 41.559 2 | |
| QI | 23.089 5 | 29.983 6 | 31.201 0 | 30.651 7 | 36.262 7 | 40.511 1 | 41.572 9 | 41.996 0 | |
Table 9
The results of ω¯ for square CNT-reinforced bioinspired composite plates with Mm=4% at T=340 K"
| Boundary condition | Layup scheme | ||||||||
|---|---|---|---|---|---|---|---|---|---|
| 0.0 | 2.5 | 5.0 | 7.5 | 0.0 | 2.5 | 5.0 | 7.5 | ||
| SSSS | HR | 6.663 9 | 10.585 4 | 11.410 0 | 11.721 2 | 13.328 2 | 14.025 4 | 14.267 3 | 14.375 4 |
| HE | 6.664 4 | 10.579 1 | 11.403 9 | 11.715 4 | 13.299 7 | 14.011 6 | 14.257 6 | 14.367 3 | |
| HS | 7.541 5 | 11.654 3 | 12.491 8 | 12.805 7 | 14.441 5 | 15.302 1 | 15.571 0 | 15.686 6 | |
| LH | 6.735 2 | 10.667 4 | 11.492 5 | 11.803 8 | 13.412 2 | 14.121 4 | 14.365 5 | 14.474 3 | |
| FH | 6.909 2 | 10.861 0 | 11.685 9 | 11.996 7 | 13.596 4 | 14.332 5 | 14.581 8 | 14.692 0 | |
| QI | 8.371 0 | 12.348 1 | 13.085 8 | 13.358 3 | 14.892 2 | 15.463 8 | 15.665 4 | 15.755 6 | |
| CCCC | HR | 9.902 8 | 17.074 7 | 19.029 0 | 19.807 2 | 30.668 3 | 34.240 0 | 35.082 1 | 35.426 1 |
| HE | 9.917 0 | 17.059 6 | 19.010 1 | 19.787 1 | 30.586 2 | 34.164 5 | 35.010 5 | 35.356 3 | |
| HS | 10.537 6 | 17.684 3 | 19.547 6 | 20.284 2 | 29.647 9 | 33.104 2 | 33.975 4 | 34.335 0 | |
| LH | 9.912 2 | 17.105 1 | 19.055 8 | 19.832 1 | 30.602 4 | 34.163 3 | 35.007 2 | 35.352 3 | |
| FH | 10.032 6 | 17.209 9 | 19.147 2 | 19.917 4 | 30.457 8 | 33.991 6 | 34.839 1 | 35.186 2 | |
| QI | 12.072 2 | 19.949 4 | 21.823 4 | 22.544 2 | 31.917 6 | 34.955 5 | 35.707 7 | 36.018 1 | |
| [1] | WANG, Y., NALEWAY, S. E., and WANG, B. Biological and bioinspired materials: structure leading to functional and mechanical performance. Bioactive Materials, 5(4), 745–757 (2020) |
| [2] | SANDAK, A. and BUTINA OGORELEC, K. Bioinspired building materials — lessons from nature. Frontiers in Materials, 10, 1283163 (2023) |
| [3] | ZHANG, W., XU, J., and YU, T. X. Dynamic behaviors of bio-inspired structures: design, mechanisms, and models. Engineering Structures, 265, 114490 (2022) |
| [4] | MALEKINEJAD, H., CARBAS, R. J. C., AKHAVAN-SAFAR, A., MARQUES, E. A. S., FERREIRA, M., and DA SILVA, L. F. M. Bio-inspired helicoidal composite structure featuring graded variable ply pitch under transverse tensile loading. Journal of Composites Science, 8(6), 228 (2024) |
| [5] | GARG, A., LI, L., and SHARMA, A. Free vibration analysis of bio-inspired double- and cross-helicoidal laminated composite plates. Mechanics Based Design of Structures and Machines, 52(12), 10612–10628 (2024) |
| [6] | GEORGANTZINOS, S. K., ANTONIOU, P. A., STAMOULIS, K. P., and SPITAS, C. Influence of microstructural and environmental factors on the buckling performance of carbon nanotube-enhanced laminated composites: a multiscale analysis. Engineering Failure Analysis, 158, 108055 (2024) |
| [7] | HUANG, W., RESTREPO, D., JUNG, J. Y., SU, F. Y., LIU, Z., RITCHIE, R. O., MCKITTRICK, J., ZAVATTIERI, P., and KISAILUS, D. Multiscale toughening mechanisms in biological materials and bioinspired designs. Advanced Materials, 31(43), e1901561 (2019) |
| [8] | YUAN, Y., ZHANG, X., LI, X., ZHANG, Q., YIN, Q., LIU, W., and ZHANG, Z. Manipulating impact damage modes in composite laminates by helical pitch angle and ply thickness. Engineering Fracture Mechanics, 265, 108383 (2022) |
| [9] | LI, X., ZHANG, X., YUAN, Y., and ZHANG, Z. Damage tolerance mechanism of bioinspired hybridization helical composite in lobster homarus americanus. Composites Part A: Applied Science and Manufacturing, 157, 106936 (2022) |
| [10] | LI, X., YUAN, Y., and ZHANG, Z. Gradient ply thickness design for enhanced low-velocity impact resistance in ultra-thin ply composite. Extreme Mechanics Letters, 63, 102054 (2023) |
| [11] | SHARMA, A., SHUKLA, N. K., BELARBI, M. O., ABBAS, M., GARG, A., LI, L., BHUTTO, J., and BHATIA, A. Bio-inspired nacre and helicoidal composites: from structure to mechanical applications. Thin-Walled Structures, 192, 111146 (2023) |
| [12] | SHANG, J. S., NGERN, N. H. H., and TAN, V. B. C. Crustacean-inspired helicoidal laminates. Composites Science and Technology, 128, 222–232 (2016) |
| [13] | DOODI, R. and GUNJI, B. M. Experimental and numerical investigation on novel three-dimensional printed bio-inspired hexagonal lattices for energy absorption and stiffness behavior. Mechanics Based Design of Structures and Machines, 52(11), 8727–8743 (2024) |
| [14] | INGROLE, A., AGUIRRE, T. G., FULLER, L., and DONAHUE, S. W. Bioinspired energy absorbing material designs using additive manufacturing. Journal of the Mechanical Behavior of Biomedical Materials, 119, 104518 (2021) |
| [15] | JIANG, H., REN, Y., LIU, Z., ZHANG, S., and LIN, Z. Low-velocity impact resistance behaviors of bio-inspired helicoidal composite laminates with non-linear rotation angle based layups. Composite Structures, 214, 463–475 (2019) |
| [16] | MOHAMED, S. A., MOHAMED, N., and ELTAHER, M. A. Bending, buckling and linear vibration of bio-inspired composite plates. Ocean Engineering, 259, 111851 (2022) |
| [17] | SHARMA, A., BELARBI, M. O., GARG, A., and LI, L. Bending analysis of bio-inspired helicoidal/Bouligand laminated composite plates. Mechanics of Advanced Materials and Structures, 31, 5326–5340 (2024) |
| [18] | GARG, A., BELARBI, M. O., CHALAK, H. D., LI, L., SHARMA, A., AVCAR, M., SHARMA, N., PARUTHI, S., and GULIA, R. Buckling and free vibration analysis of bio-inspired laminated sandwich plates with helicoidal/Bouligand face sheets containing softcore. Ocean Engineering, 270, 113684 (2023) |
| [19] | DO, N. T., NGUYEN, T. T., TRAN, T. T., LE, P. B., and PHAM, Q. H. Free vibration analysis of bio-inspired helicoid laminated composite plates resting on elastic foundation using isogeometric analysis and artificial neural network. Mechanics of Time-Dependent Materials, 28(4), 2487–2510 (2024) |
| [20] | SINGH, A., GARG, A., and SAHU, V. Stability and mode shape analysis of doubly- and cross-helicoidal laminated sandwich plates inspired from dactyl’s club. Mechanics of Advanced Materials and Structures, 31, 8764–8780 (2024) |
| [21] | SHARMA, A., TONK, A., GARG, A., LI, L., and CHALAK, H. D. First-ply failure analysis of helicoidal/Bouligand bio-inspired laminated composite plates. AIAA Journal, 61(12), 5598–5608 (2023) |
| [22] | SHARMA, A., TONK, A., GARG, A., LI, L., and CHALAK, H. D. First-ply failure analysis of bioinspired double and cross-helicoidal laminated sandwich plates. AIAA Journal, 61(11), 5087–5095 (2023) |
| [23] | PARUTHI, S., SHARMA, N., GULIA, R., CHOUDHARY, L., SHARMA, A., BELARBI, M. O., GARG, A., LI, L., and CHALAK, H. D. Thermal-based free vibration and buckling behavior of bio-inspired cross- and double-helicoidal/Bouligand laminated composite plates. Acta Mechanica Solida Sinica, 36(6), 933–942 (2023) |
| [24] | LU, T., SHEN, H. S., WANG, H., CHEN, X., and FENG, M. Linear and nonlinear free vibration and optimal design of bio-inspired helicoidal CFRPC laminated plates. International Journal of Structural Stability and Dynamics, 24(9), 2450098 (2024) |
| [25] | ELTAHER, M. A., ALERYANI, O. A., MELAIBARI, A., and ABDELRAHMAN, A. A. Bending and vibration of a bio-inspired Bouligand composite plate using the finite-element method. Mechanics of Composite Materials, 59(6), 1199–1216 (2024) |
| [26] | KARAMANLI, A., VO, T. P., and ELTAHER, M. A. Comprehensive analysis of bio-inspired laminated composites plates using a quasi-3D theory and higher order FE models. Thin-Walled Structures, 198, 111735 (2024) |
| [27] | KARAMANLI, A., VO, T. P., and ELTAHER, M. A. Transient analysis of bio-inspired shear and normal deformable laminated composite plates using a higher-order finite element model. Mechanics Based Design of Structures and Machines, 52, 9281–9305 (2024) |
| [28] | KIRAN, R., SINGH, D., SINGH, S. K., SAINI, A., SONG, Y., and VAISH, R. On the isogeometric analysis of vibration and buckling of bioinspired composite plates using inverse hyperbolic shear deformation theory. Mechanics Based Design of Structures and Machines, 53, 1067–1104 (2025) |
| [29] | SAURABH, S., KIRAN, R., SINGH, D., VAISH, R., and CHAUHAN, V. S. A comprehensive investigation on nonlinear vibration and bending characteristics of bio-inspired helicoidal laminated composite structures. Applied Mathematics and Mechanics (English Edition), 46(1), 81–100 (2025) https://doi.org/10.1007/s10483-025-3200-7 |
| [30] | SHAN, L., TAN, C. Y., SHEN, X., RAMESH, S., ZAREI, M. S., KOLAHCHI, R., and HAJMOHAMMAD, M. H. The effects of nano-additives on the mechanical, impact, vibration, and buckling/post-buckling properties of composites: a review. Journal of Materials Research and Technology, 24, 7570–7598 (2023) |
| [31] | GARG, A., CHALAK, H. D., BELARBI, M. O., ZENKOUR, A. M., and SAHOO, R. Estimation of carbon nanotubes and their applications as reinforcing composite materials — an engineering review. Composite Structures, 272, 114234 (2021) |
| [32] | GEORGANTZINOS, S. K., ANTONIOU, P. A., and SPITAS, C. A multi-scale computational framework for the hygro-thermo-mechanical analysis of laminated composite structures with carbon nanotube inclusions. Results in Engineering, 17, 100904 (2023) |
| [33] | LIEW, K. M., PAN, Z., and ZHANG, L. W. The recent progress of functionally graded CNT reinforced composites and structures. Science China Physics, Mechanics & Astronomy, 63, 234601 (2020) |
| [34] | SINGH, D., KIRAN, R., and VAISH, R. Vibration and buckling analysis of agglomerated CNT composite plates via isogeometric analysis using non-polynomial shear deformation theory. European Journal of Mechanics-A/Solids, 98, 104892 (2023) |
| [35] | THAKUR, B. R., VERMA, S., SINGH, B. N., and MAITI, D. K. Dynamic analysis of flat and folded laminated composite plates under hygrothermal environment using a nonpolynomial shear deformation theory. Composite Structures, 274, 114327 (2021) |
| [36] | GUPTA, A., VERMA, S., and GHOSH, A. Static and dynamic NURBS-based isogeometric analysis of composite plates under hygrothermal environment. Composite Structures, 284, 115083 (2022) |
| [37] | ACETI, P., CARMINATI, L., BETTINI, P., and SALA, G. Hygrothermal ageing of composite structures, part 1: technical review. Composite Structures, 319, 117076 (2023) |
| [38] | ANTONIOU, P. A., MARKOLEFAS, S. I., GIANNOPOULOS, G. I., LAGAROS, N., and GEORGANTZINOS, S. K. Multiscale modeling of microstructural and hygrothermal effects on vibrations of CNT-enhanced fiber-reinforced polymer composites. Journal of Sound and Vibration, 596, 118733 (2025) |
| [39] | PATTON, A., ANTOLÍN, P., DUFOUR, J. E., KIENDL, J., and REALI, A. Accurate equilibrium-based interlaminar stress recovery for isogeometric laminated composite Kirchhoff plates. Composite Structures, 256, 112976 (2021) |
| [40] | HASIM, K. A. and KEFAL, A. Isogeometric static analysis of laminated plates with curvilinear fibers based on refined zigzag theory. Composite Structures, 256, 113097 (2021) |
| [41] | COTTRELL, J. A., HUGHES, T. J. R., and REALI, A. Studies of refinement and continuity in isogeometric structural analysis. Computer Methods in Applied Mechanics and Engineering, 196(41-44), 4160–4183 (2007) |
| [42] | GUPTA, V., JAMEEL, A., VERMA, S. K., ANAND, S., and ANAND, Y. An insight on NURBS based isogeometric analysis, its current status and involvement in mechanical applications. Archives of Computational Methods in Engineering, 30(2), 1187–1230 (2023) |
| [43] | HASSANZADEH-AGHDAM, M. K. and JAMALI, J. A new form of a Halpin-Tsai micromechanical model for characterizing the mechanical properties of carbon nanotube-reinforced polymer nanocomposites. Bulletin of Materials Science, 42(3), 117 (2019) |
| [44] | CHAMIS, C. C., LARK, R. F., and SINCLAIR, J. H. An integrated theory for predicting the hygrothermomechanical response of advanced composite structural components. Advanced Composite Materials — Environmental Effects, ASTM International, 160–192 (1978) |
| [45] | GEORGANTZINOS, S. K., GIANNOPOULOS, G. I., and MARKOLEFAS, S. I. Vibration analysis of carbon fiber-graphene-reinforced hybrid polymer composites using finite element techniques. Materials, 13(19), 4225 (2020) |
| [46] | THOSTENSON, E. T. and CHOU, T. W. Corrigendum: ‘On the elastic properties of carbon nanotube-based composites: modelling and characterization’ (Journal of Physics D: Applied Physics, 36, 573 (2003)). Journal of Physics D: Applied Physics, 47(7), 079501 (2014) |
| [47] | MALLICK, P. K. Fiber-Reinforced Composites: Materials, Manufacturing, and Design, 3rd ed., CRC Press, Boca Raton (2007) |
| [48] | GIBSON, R. F. Principles of Composite Material Mechanics, 4th ed., CRC Press, Boca Raton, 1–657 (2016) |
| [49] | GOGLIO, L. and REZAEI, M. Variations in mechanical properties of an epoxy adhesive on exposure to warm moisture. Journal of Adhesion Science and Technology, 28(14-15), 1394–1404 (2014) |
| [50] | SHEN, C. H. and SPRINGER, G. S. Moisture absorption and desorption of composite materials. Journal of Composite Materials, 10(1), 2–20 (1976) |
| [51] | LOOS, A. C. and SPRINGER, G. S. Moisture absorption of graphite-epoxy composites immersed in liquids and in humid air. Journal of Composite Materials, 13(2), 131–147 (1979) |
| [52] | TALREJA, R. Damage and failure of composite materials. Advanced Theories for Deformation, Damage and Failure in Materials, Springer, Cham (2012) |
| [53] | OZBAKKALOGLU, T., CHEN, J. F., SMITH, S. T., and DAI, J. G. Application of fiber reinforced polymer composites. International Journal of Polymer Science, 2016, 5804145 (2016) |
| [54] | REDDY, J. N. Mechanics of Laminated Composite Plates and Shells: Theory and Analysis, CRC Press, Boca Raton (2004) |
| [55] | REDDY, J. N. Theory and analysis of laminated composite plates. Mechanics of Composite Materials and Structures, Springer, Dordrecht, 1–79 (1999) |
| [56] | THAI, C. H., NGUYEN-XUAN, H., BORDAS, S. P. A., NGUYEN-THANH, N., and RABCZUK, T. Isogeometric analysis of laminated composite plates using the higher-order shear deformation theory. Mechanics of Advanced Materials and Structures, 22(6), 451–469 (2015) |
| [57] | HUGHES, T. J. R., COTTRELL, J. A., and BAZILEVS, Y. Isogeometric analysis: CAD, finite elements, NURBS, exact geometry and mesh refinement. Computer Methods in Applied Mechanics and Engineering, 194(39-41), 4135–4195 (2005) |
| [1] | Chengmin NIE, Fu GUO, Yuxin HAO, Xiaojun GU. Stiffness and natural vibration of a rotating sandwich metal porous cantilever pre-twisted plate reinforced by graphene [J]. Applied Mathematics and Mechanics (English Edition), 2026, 47(1): 135-152. |
| [2] | F. M. NASREKANI, H. EIPAKCHI. Moderately large amplitude forced vibration of sandwich functionally graded auxetic beams: an analytical approach [J]. Applied Mathematics and Mechanics (English Edition), 2026, 47(1): 99-114. |
| [3] | Yunkai TANG, Shengyi TANG, Kai LING, Donghui LIU, Huadong YONG, Youhe ZHOU. Deformation and stability of a circular-arc arch compressed by a rigid plate: incorporating tension, shear, and bending [J]. Applied Mathematics and Mechanics (English Edition), 2026, 47(1): 19-38. |
| [4] | Zeyu CHAI, Zhen ZHANG, Kefan XU, Xuyuan SONG, Yewei ZHANG, Liqun CHEN. An innovative nonlinear bionic X-shaped vibration isolator enhanced by quasi-zero stiffness characteristics: theory and experimental investigation [J]. Applied Mathematics and Mechanics (English Edition), 2025, 46(8): 1475-1492. |
| [5] | N. A. SAEED, Y. Y. ELLABBAN, Lei HOU, Haiming YI, Shun ZHONG, F. Z. DURAIHEM, O. M. OMARA. Nonlinear vibration of quasi-zero stiffness structure with piezoelectric harvester and RL-load: intra-well and inter-well oscillation modes under 1:1 internal resonance [J]. Applied Mathematics and Mechanics (English Edition), 2025, 46(8): 1451-1474. |
| [6] | Shun WENG, Liying WU, Zuoqiang LI, Lanbin ZHANG, Huliang DAI. Optimizing wind energy harvester with machine learning [J]. Applied Mathematics and Mechanics (English Edition), 2025, 46(8): 1417-1432. |
| [7] | Dejuan KONG, Zhuangzhuang HE, Chengbin LIU, Chunli ZHANG. Analysis of multi-field coupling behaviors of sandwich piezoelectric semiconductor beams under thermal loadings [J]. Applied Mathematics and Mechanics (English Edition), 2025, 46(8): 1571-1590. |
| [8] | Lele ZHANG, Zheng ZHAO, Xiaofan HU, Guoquan NIE, Jinxi LIU. Exact multi-field coupling modeling and analysis of piezoelectric semiconductor plates [J]. Applied Mathematics and Mechanics (English Edition), 2025, 46(7): 1331-1346. |
| [9] | Chunhao ZHANG, Qingdong CHAI, Changyuan YU, Wuce XING, Yanqing WANG. Theoretical and experimental investigation on vibration of bolted-flange-joined conical-cylindrical shells [J]. Applied Mathematics and Mechanics (English Edition), 2025, 46(6): 1049-1068. |
| [10] | Jie JING, Xiaoye MAO, Hu DING, Honggang LI, Liqun CHEN. Modeling and mechanism of vibration reduction of pipes by visco-hyperelastic materials [J]. Applied Mathematics and Mechanics (English Edition), 2025, 46(6): 1029-1048. |
| [11] | Weixing ZHANG, Dongshuo YANG, Xiangying GUO. Low-frequency vibration suppression of meta-beam withsoftening nonlinearity [J]. Applied Mathematics and Mechanics (English Edition), 2025, 46(6): 1011-1028. |
| [12] | S. CHOWDHURY, S. ADHIKARI. Structural vibration control using nonlinear damping amplifier friction vibration absorbers [J]. Applied Mathematics and Mechanics (English Edition), 2025, 46(5): 965-988. |
| [13] | Jinming FAN, Zhongbiao PU, Jie YANG, Xueping CHANG, Yinghui LI. Orthogonality conditions and analytical response solutions of damped gyroscopic double-beam system: an example of pipe-in-pipe system [J]. Applied Mathematics and Mechanics (English Edition), 2025, 46(5): 927-946. |
| [14] | Peiliang ZHANG, Jianfei WANG. Macro fiber composite-based active control of nonlinear forced vibration of functionally graded plate [J]. Applied Mathematics and Mechanics (English Edition), 2025, 46(5): 869-884. |
| [15] | Hui MA, Hong GUAN, Lin QU, Xumin GUO, Qinqin MU, Yao ZENG, Yanyan CHEN. Dynamic modeling and simulation of blade-casing system with rubbing considering time-varying stiffness and mass of casing [J]. Applied Mathematics and Mechanics (English Edition), 2025, 46(5): 849-868. |
| Viewed | ||||||
|
Full text |
|
|||||
|
Abstract |
|
|||||

Email Alert
RSS