Applied Mathematics and Mechanics (English Edition) ›› 2026, Vol. 47 ›› Issue (1): 19-38.doi: https://doi.org/10.1007/s10483-026-3330-9
Previous Articles Next Articles
Yunkai TANG1,2,3, Shengyi TANG1,2,3, Kai LING1,2,3, Donghui LIU1,2,3, Huadong YONG1,2,3,†(
), Youhe ZHOU1,2,3
Received:2025-07-18
Revised:2025-10-17
Published:2025-12-30
Contact:
Huadong YONG, E-mail: yonghd@lzu.edu.cnSupported by:2010 MSC Number:
Yunkai TANG, Shengyi TANG, Kai LING, Donghui LIU, Huadong YONG, Youhe ZHOU. Deformation and stability of a circular-arc arch compressed by a rigid plate: incorporating tension, shear, and bending. Applied Mathematics and Mechanics (English Edition), 2026, 47(1): 19-38.
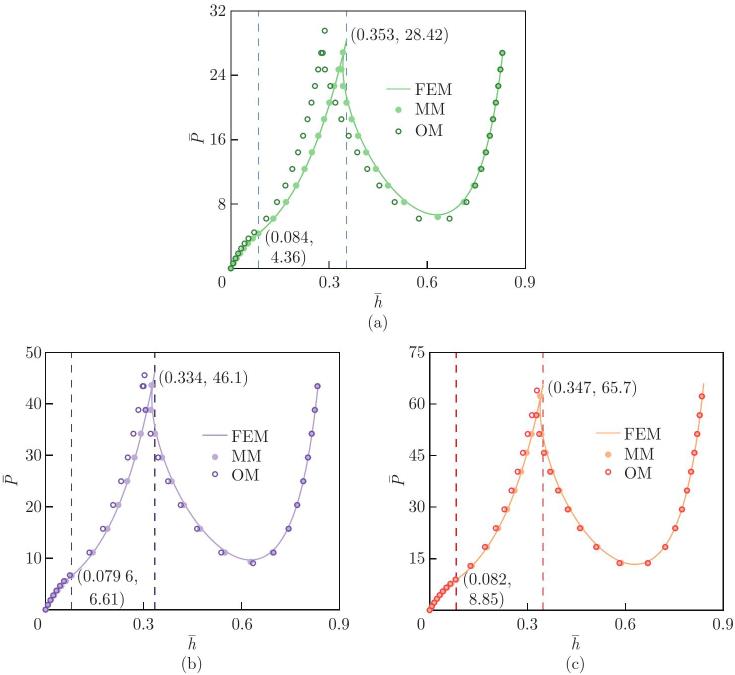
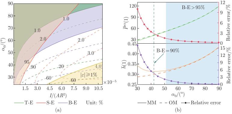
Fig. 12
(a) The relationship between the proportions of the three strain energy components at the critical buckling state and the parameters α0 and IAR2; (b) the comparison of the dimensionless critical load P¯cr and the dimensionless displacement h¯ of the rigid plate between the MM and OM when IAR2=3.33×10−5, where T-E, S-E, and B-E represent the tensile, shear, and bending strain energies, respectively (color online)"
| [1] | LUBINSKI, A. K. and BLENKARN, A. Buckling of tubing in pumping wells, its effects and means for controlling it. Transactions of the AIME, 210, 73–88 (1957) |
| [2] | THOMPSON, J. M. T., SILVEIRA, M., VAN DER HEIJDEN, G. H. M., and WIERCIGROCH, M. Helical post-buckling of a rod in a cylinder: with applications to drill-strings. Proceedings of the Royal Society A: Mathematical, Physical and Engineering Sciences, 468, 1591–1614 (2012) |
| [3] | LATSON, L. A. and QURESHI, A. M. Techniques for transcatheter recanalization of completely occluded vessels and pathways in patients with congenital heart disease. Annals of Pediatric Cardiology, 3, 140–146 (2010) |
| [4] | ALDERLIESTEN, T., KONINGS, M. K., and NIESSEN, W. J. Modeling friction, intrinsic curvature, and rotation of guide wires for simulation of minimally invasive vascular interventions. IEEE Transactions on Biomedical Engineering, 54, 29–38 (2007) |
| [5] | LAJNEF, N., BURGUEÑO, R., BORCHANI, W., and SUN, Y. A concept for energy harvesting from quasi-static structural deformations through axially loaded bilaterally constrained columns with multiple bifurcation points. Smart Materials and Structures, 23, 055005 (2014) |
| [6] | JIAO, P. C., BORCHANI, W., ALAVI, A. H., HASNI, H., and LAJNEF, N. An energy harvesting and damage sensing solution based on postbuckling response of nonuniform cross-section beams. Structural Control and Health Monitoring, 25, e2052 (2018) |
| [7] | LIANG, K., ZHOU, S. J., LUO, Y. J., ZHANG, X. P., and KANG, Z. Topology optimization design of recoverable bistable structures for energy absorption with embedded shape memory alloys. Thin-Walled Structures, 198, 111757 (2024) |
| [8] | JIN, T., ZHAO, J., and ZHANG, Y. Postbuckling analyses of ribbon-type 3D structures assembled on cylindrical substrates. Acta Mechanica Sinica, 40, 424130 (2024) |
| [9] | PRONK, S., GEISSLER, P. L., and FLETCHER, D. A. Limits of filopodium stability. Physical Review Letters, 100, 258102 (2008) |
| [10] | SIPOS, A. A. and VÁRKONYI, P. L. A unified morphoelastic rod model with application to growth-induced coiling, waving, and skewing of plant roots. Journal of the Mechanics and Physics of Solids, 160, 104789 (2022) |
| [11] | RIKS, E. The application of Newton’s method to the problem of elastic stability. ASME Journal of Applied Mechanics, 39, 1060–1065 (1972) |
| [12] | RIKS, E. An incremental approach to the solution of snapping and buckling problems. International Journal of Solids and Structures, 15, 529–551 (1979) |
| [13] | SIMO, J. C., WRIGGERS, P., SCHWEIZERHOF, K. H., and TAYLOR, R. L. Finite deformation post-buckling analysis involving inelasticity and contact constraints. International Journal for Numerical Methods in Engineering, 23, 779–800 (1986) |
| [14] | KANTO, Y. and YAGAWA, G. A dynamic contact buckling analysis by the penalty finite element method. International Journal for Numerical Methods in Engineering, 29, 755–774 (1990) |
| [15] | SEO, K. and MAN, K. Post-buckling analysis of nonfrictional contact problems using linear complementarity formulation. Computers & Structures, 57, 783–794 (1995) |
| [16] | DENOËL, V. and DETOURNAY, E. Eulerian formulation of constrained elastica. International Journal of Solids and Structures, 48, 625–636 (2011) |
| [17] | WANG, J., DEBOEUF, S., ANTKOWIAK, A., and NEUKIRCH, S. Constrained Euler buckling: the von Kármán approximation. International Journal of Solids and Structures, 313, 113279 (2025) |
| [18] | ADAN, N., SHEINMAN, I., and ALTU, E. Post-buckling behavior of beams under contact constraints. ASME Journal of Applied Mechanics, 61, 764–772 (1994) |
| [19] | ADAMS, G. G. and BENSON, R. C. Postbuckling of an elastic plate in a rigid channel. International Journal of Mechanical Sciences, 28, 153–162 (1986) |
| [20] | DOMOKOS, G., HOLMES, P., and ROYCE, B. Constrained euler buckling. Journal of Nonlinear Science, 7, 281–314 (1997) |
| [21] | CHAI, H. The post-buckling response of a bi-laterally constrained column. Journal of the Mechanics and Physics of Solids, 46, 1155–1181 (1998) |
| [22] | RO, W., CHEN, J., and HONG, S. Vibration and stability of a constrained elastica with variable length. International Journal of Solids and Structures, 47, 2143–2154 (2010) |
| [23] | CHEN, J. and LI, C. Planar elastica inside a curved tube with clearance. International Journal of Solids and Structures, 44, 6173–6186 (2007) |
| [24] | LU, Z. and CHEN, J. Deformations of a clamped-clamped elastica inside a circular channel with clearance. International Journal of Solids and Structures, 45, 2470–2492 (2008) |
| [25] | VILLAGGIO, P. Buckling under unilateral constraints. International Journal of Solids and Structures, 15, 193–201 (1979) |
| [26] | ROMAN, B. and POCHEAU, A. Buckling cascade of thin plates: forms, constraints and similarity. Europhysics Letters, 46, 602 (1999) |
| [27] | WANG, Z., RUIMI, A., and SRINIVASA, A. R. A direct minimization technique for finding minimum energy configurations for beam buckling and post-buckling problems with constraints. International Journal of Solids and Structures, 72, 165–173 (2015) |
| [28] | WU. J. and JUVKAM-WOLD, H. C. The effect of wellbore curvature on tubular buckling and lockup. ASME Journal of Applied Mechanics, 117, 214–218 (1995) |
| [29] | HUANG, W. and GAO, D. Helical buckling of a thin rod with connectors constrained in a torus. International Journal of Mechanical Sciences, 98, 14–28 (2015) |
| [30] | HUANG, W., GAO, D., and LIU, Y. A study of tubular string buckling in vertical wells. International Journal of Mechanical Sciences, 118, 231–253 (2016) |
| [31] | LIU, J., ZHONG, X., CHENG, Z., FENG, X., and REN, G. Buckling of a slender rod confined in a circular tube: theory, simulation, and experiment. International Journal of Mechanical Sciences, 140, 288–305 (2018) |
| [32] | LIU, C. and CHEN, J. Effect of Coulomb friction on the deformation of an elastica constrained in a straight channel with clearance. European Journal of Mechanics-A/Solids, 39, 50–59 (2013) |
| [33] | TIKHONOV, V. S. and SAFRONOV, A. I. Analysis of postbuckling drillstring vibrations in rotary drilling of extended-reach wells. ASME Journal of Energy Resources Technology, 133, 043102 (2011) |
| [34] | HORVÁTH, M. G., SIPOS, A. A., and VÁKONYI, P. L. Shape of an elastica under growth restricted by friction. International Journal of Solids and Structures, 156-157, 137–147 (2019) |
| [35] | PLAUT, R. H., SUHERMAN, S., DILLARD, D. A., WILLIAMS, B. E., and WATSON, L. T. Deflections and buckling of a bent elastica in contact with a flat surface. International Journal of Solids and Structures, 36, 1209–1229 (1999) |
| [36] | CHEN, J. and HUNG, S. Deformation and stability of an elastica constrained by curved surfaces. International Journal of Mechanical Sciences, 82, 1–12 (2014) |
| [37] | MORIMOTO, T. and SATO, K. Contact responses between a semi-circular ring and a rigid plane. International Journal of Solids and Structures, 264, 112122 (2023) |
| [38] | JUDAH, N. and GIVLI, S. The post-buckling behavior of a beam constrained by nonlinear springy walls. ASME Journal of Applied Mechanics, 91, 061004 (2024) |
| [39] | CHAI, H. On the post-buckling behavior of bilaterally constrained plates. International Journal of Solids and Structures, 39, 2911–2926 (2002) |
| [40] | LIU, Z. and JU, J. Developing a scalable analytical framework for predicting the contact behavior of elastic rings against rigid surfaces. International Journal of Solids and Structures, 301, 112967 (2024) |
| [41] | ENGESSER, F. Die Knickfestigkeit Gerader Stabe, W. Ernst & Sohn, Berlin (1891) |
| [42] | PISANTY, A. and TENE, Y. Equilibrium equations for plane slender bars undergoing large shear deformations. Acta Mechanica, 17, 263–275 (1973) |
| [43] | SCHMIDT, R. and DADEPPO, D. A. Nonlinear theory of arches and beams with shear deformation. ASME Journal of Applied Mechanics, 39, 1144–1146 (1972) |
| [44] | TIMOSHENKO, S. P. and GERE, J. M. Theory of Elastic Stability, McGraw-Hill, New York (1961) |
| [45] | DADEPPO, D. A. and SCHMIDT, R. Large deflections of elastic arches and beams with shear deformation. The Journal of the Industrial Mathematics Society, 22, 17–34 (1972) |
| [46] | HARINGX, J. A. On highly compressible helical springs and rubber rods, and their application for vibration—free mountings, part I, Philips Res. report 3. Philips Gloeilampenfabrieken, Eindhoven, the Netherlands (1948) |
| [47] | ANTMAN, S. S. and ROSENFELD, G. Global behavior of buckled states of nonlinearly elastic rods. SIAM Review, 20, 513–566 (1978) |
| [48] | ROGERS, R. C. Derivation of linear beam equations using nonlinear continuum mechanics. Zeitschrift für angewandte Mathematik und Physik, 44, 732–754 (1993) |
| [49] | ATANACKOVIC, T. M. Stability Theory of Elastic Rods, World Scientific Publishing Co. Pte. Ltd., Singapore (1997) |
| [50] | YOSHIAKI, G., TOMOO, Y., and MAKOTO, O. Elliptic integral solutions of plane elastica with axial and shear deformations. International Journal of Solids and Structures, 26, 375–390 (1990) |
| [51] | REISSNER, E. On one-dimensional finite-strain beam theory: the plane problem. Zeitschrift für angewandte Mathematik und Physik, 23, 795–804 (1972) |
| [52] | PLAUT, R. H., DALRYMPLE, A. J., and DILLARD, D. A. Effect of work of adhesion on contact of an elastica with a flat surface. Journal of Adhesion Science and Technology, 15, 565–581 (2001) |
| [53] | MAJIDI, C. Remarks on formulating an adhesion problem using Euler’s elastica (draft). Mechanics Research Communications, 34, 85–90 (2007) |
| [54] | GLASSMAKER, N. J. and HUI, C. Y. Elastica solution for a nanotube formed by self-adhesion of a folded thin film. Journal of Applied Physics, 96, 3429–3434 (2004) |
| [55] | LI, J., ZHANG, X. Y., QIN, J. Q., MA, M. Z., and LIU, R. P. Strength and grain refinement of Ti-30Zr-5Al-3V alloy by Fe addition. Materials Science and Engineering: A, 691, 25–30 (2017) |
| [1] | Dejuan KONG, Zhuangzhuang HE, Chengbin LIU, Chunli ZHANG. Analysis of multi-field coupling behaviors of sandwich piezoelectric semiconductor beams under thermal loadings [J]. Applied Mathematics and Mechanics (English Edition), 2025, 46(8): 1571-1590. |
| [2] | Lu LU, Min LI, Shuang WANG. Surface effects on buckling instability and large deformation of magneto-active soft beams [J]. Applied Mathematics and Mechanics (English Edition), 2025, 46(4): 617-632. |
| [3] | Chang LI, Hai QING. Size-dependent axisymmetric bending and buckling analysis of functionally graded sandwich Kirchhoff nanoplates using nonlocal strain gradient integral model [J]. Applied Mathematics and Mechanics (English Edition), 2025, 46(3): 467-484. |
| [4] | S. SAURABH, S. K. SINGH, V. S. CHAUHAN, R. KIRAN. On the buckling and vibration behavior of carbon nanotube-reinforced bioinspired composite plates: a combined microstructural and hygrothermal investigation via isogeometric analysis [J]. Applied Mathematics and Mechanics (English Edition), 2025, 46(12): 2317-2340. |
| [5] | Yongqi LIU, Jianwei WANG, Dong DU, Guohua NIE. A variational differential quadrature formulation for buckling analysis of anisogrid composite lattice conical shells [J]. Applied Mathematics and Mechanics (English Edition), 2025, 46(11): 2155-2176. |
| [6] | Wei WANG, Gaofei GUAN, Yongqi LI, Jiabin SUN, Zhenhuan ZHOU, Xinsheng XU. Nonlinear post-buckling modeling of a magneto-electro-elastic cylindrical shell with flexomagnetic and flexoelectric effects [J]. Applied Mathematics and Mechanics (English Edition), 2025, 46(11): 2135-2154. |
| [7] | Dali WANG, Tianli JIANG, Huliang DAI, Lin WANG. Non-planar vibration characteristics and buckling behaviors of two fluid-conveying pipes coupled with an intermediate spring [J]. Applied Mathematics and Mechanics (English Edition), 2025, 46(10): 1829-1850. |
| [8] | N. D. NGUYEN, T. N. NGUYEN. Chebyshev polynomial-based Ritz method for thermal buckling and free vibration behaviors of metal foam beams [J]. Applied Mathematics and Mechanics (English Edition), 2024, 45(5): 891-910. |
| [9] | H.M. FEIZABAD, M.H. YAS. Free vibration and buckling analysis of polymeric composite beams reinforced by functionally graded bamboo fibers [J]. Applied Mathematics and Mechanics (English Edition), 2024, 45(3): 543-562. |
| [10] | Lei WANG, Yingge LIU, Juxi HU, Weimin CHEN, Bing HAN. A non-probabilistic reliability topology optimization method based on aggregation function and matrix multiplication considering buckling response constraints [J]. Applied Mathematics and Mechanics (English Edition), 2024, 45(2): 321-336. |
| [11] | Feixiang TANG, Shaonan SHI, Siyu HE, Fang DONG, Sheng LIU. Size-dependent vibration and buckling of porous functionally graded microplates based on modified couple stress theory in thermal environments by considering a dual power-law distribution of scale effects [J]. Applied Mathematics and Mechanics (English Edition), 2024, 45(12): 2075-2092. |
| [12] | Lei WANG, Zikun LUO, Mengkai LU, Minghai TANG. A physics-informed neural network for simulation of finite deformation in hyperelastic-magnetic coupling problems [J]. Applied Mathematics and Mechanics (English Edition), 2024, 45(10): 1717-1732. |
| [13] | Qiao ZHANG, Yuxin SUN. Statics, vibration, and buckling of sandwich plates with metamaterial cores characterized by negative thermal expansion and negative Poisson's ratio [J]. Applied Mathematics and Mechanics (English Edition), 2023, 44(9): 1457-1486. |
| [14] | Shan XIA, Linghui HE. Buckling morphology of glassy nematic films with staggered director field [J]. Applied Mathematics and Mechanics (English Edition), 2023, 44(11): 1841-1852. |
| [15] | Andi LAI, Bing ZHAO, Xulong PENG, Chengyun LONG. Effects of local thickness defects on the buckling of micro-beam [J]. Applied Mathematics and Mechanics (English Edition), 2022, 43(5): 729-742. |
| Viewed | ||||||
|
Full text |
|
|||||
|
Abstract |
|
|||||

Email Alert
RSS