Applied Mathematics and Mechanics (English Edition) ›› 2025, Vol. 46 ›› Issue (12): 2407-2426.doi: https://doi.org/10.1007/s10483-025-3327-6

Previous Articles    

A methodology of Lagrangian integral time scale in cavitating flow based on finite-time Lyapunov exponent

Peifeng LIN(), Tianyu ZANG, Jinming ZHANG   

  1. Zhejiang Key Laboratory of Multiflow and Fluid Machinery, Zhejiang Sci-Tech University, Hangzhou 310018, China
  • Received:2025-06-13 Revised:2025-10-01 Published:2025-11-28
  • Contact: †Peifeng LIN, E-mail: linpf@zstu.edu.cn
  • Supported by:
    Project supported by the Key Project of the National Natural Science Foundation of China (No. 52336001) and the Natural Science Foundation of Zhejiang Province of China (No. LR20E090001)

Abstract:

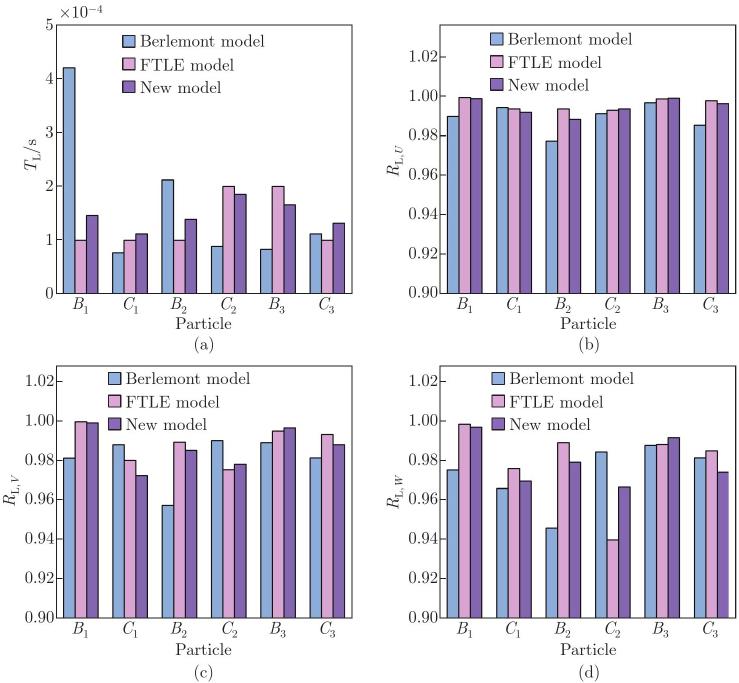
The Lagrangian integral time scale (LITS) is a crucial characteristic for investigating the changes in fluid dynamics induced by the chaotic nature, and the finite-time Lyapunov exponent (FTLE) serves as a key measure in the analysis of chaos. In this study, a new LITS model with an explicit theoretical basis and broad applicability is proposed based on the FTLE, along with a verification and evaluation criterion grounded in the Lagrangian velocity correlation coefficient. The model is used to cavitating the flow around a Clark-Y hydrofoil, and the LITS is investigated. It leads to the determination of model constants applicable to cavitating flow. The model is evaluated by the Lagrangian velocity correlation coefficient in comparison with other solution methods. All the results show that the LITS model can offer a new perspective and a new approach for studying the changes in fluid dynamics from a Lagrangian viewpoint.

Key words: Lagrangian integral time scale (LITS), finite-time Lyapunov exponent (FTLE), cavitating flow, correlation coefficient, fluid dynamics

2010 MSC Number: 

APS Journals | CSTAM Journals | AMS Journals | EMS Journals | ASME Journals