Applied Mathematics and Mechanics (English Edition) ›› 2025, Vol. 46 ›› Issue (2): 357-372.doi: https://doi.org/10.1007/s10483-025-3218-9

Previous Articles     Next Articles

Analysis of convective-radiative heat transfer in dovetail longitudinal fins with shape-dependent hybrid nanofluids: a study using the Hermite wavelet method

C. G. PAVITHRA, B. J. GIREESHA(), S. SUSHMA, K. J. GOWTHAM   

  1. Department of PG Studies and Research in Mathematics, Kuvempu University, Shankaraghatta 577451, Shivamogga, Karnataka, India
  • Received:2024-08-12 Revised:2024-12-15 Online:2025-02-03 Published:2025-02-02
  • Contact: Corresponding author: B. J. GIREESHA, E-mail: bjgireesu@gmail.com

Abstract:

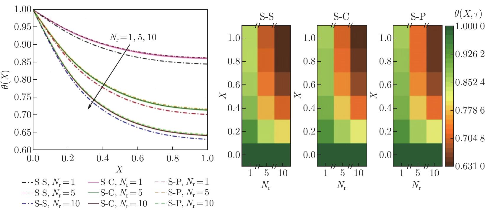
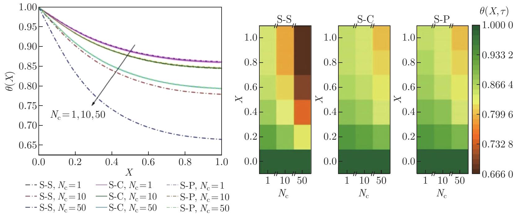
A distinguished category of operational fluids, known as hybrid nanofluids, occupies a prominent role among various fluid types owing to its superior heat transfer properties. By employing a dovetail fin profile, this work investigates the thermal reaction of a dynamic fin system to a hybrid nanofluid with shape-based properties, flowing uniformly at a velocity U. The analysis focuses on four distinct types of nanoparticles, i.e., Al2O3, Ag, carbon nanotube (CNT), and graphene. Specifically, two of these particles exhibit a spherical shape, one possesses a cylindrical form, and the final type adopts a platelet morphology. The investigation delves into the pairing of these nanoparticles. The examination employs a combined approach to assess the constructional and thermal exchange characteristics of the hybrid nanofluid. The fin design, under the specified circumstances, gives rise to the derivation of a differential equation. The given equation is then transformed into a dimensionless form. Notably, the Hermite wavelet method is introduced for the first time to address the challenge posed by a moving fin submerged in a hybrid nanofluid with shape-dependent features. To validate the credibility of this research, the results obtained in this study are systematically compared with the numerical simulations. The examination discloses that the highest heat flux is achieved when combining nanoparticles with spherical and platelet shapes.

Key words: Hermite wavelet method, radiation, convection, dovetail fin, nanoparticle configuration

2010 MSC Number: 

APS Journals | CSTAM Journals | AMS Journals | EMS Journals | ASME Journals